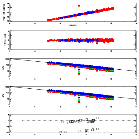
| Frame | Nreads | Zeropoints | Mag plots
| Spatial mag deviation
| Spatial sky 16325A emission deviations (filled: sky, open: star)
| Spatial sky continuum emission
| Spatial sky telluric CO2 absorption deviations (filled: H < 10)
|
| 3070045
| 47
| | Red | Green | Blue
| | z | | 18.77
| | znorm | | 14.59
| | sky | 14.5 | 14.3 | 14.2
| | S/N | 13.1 | 21.8 | 23.3
| | S/N(c) | 11.3 | 20.3 | 22.1
| | SN(E/C) | 0.92
|
|
|
|
|
|
|
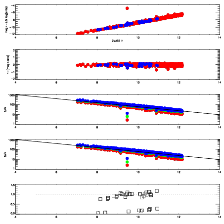
| 3070046
| 47
| | Red | Green | Blue
| | z | | 18.59
| | znorm | | 14.41
| | sky | 14.7 | 14.5 | 14.7
| | S/N | 11.3 | 19.5 | 21.1
| | S/N(c) | 9.8 | 18.0 | 19.9
| | SN(E/C) | 0.96
|
|
|
|
|
|
|
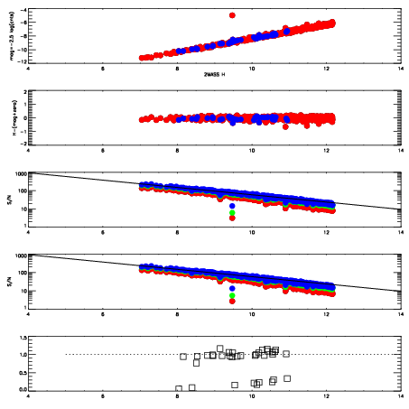
| 3070047
| 47
| | Red | Green | Blue
| | z | | 18.57
| | znorm | | 14.39
| | sky | 14.8 | 14.5 | 14.6
| | S/N | 11.1 | 19.4 | 20.8
| | S/N(c) | 9.8 | 17.8 | 19.6
| | SN(E/C) | 0.90
|
|
|
|
|
|
|
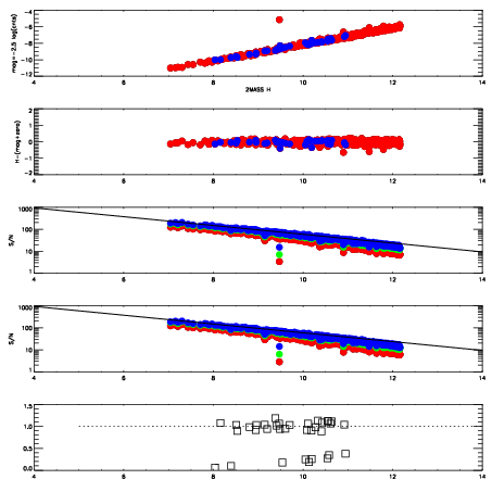
| 3070048
| 47
| | Red | Green | Blue
| | z | | 18.08
| | znorm | | 13.90
| | sky | 14.5 | 14.6 | 14.7
| | S/N | 7.7 | 14.5 | 15.7
| | S/N(c) | 6.5 | 13.1 | 14.7
| | SN(E/C) | 0.98
|
|
|
|
|
|
|
| 3070049
| 47
| | Red | Green | Blue
| | z | | 18.18
| | znorm | | 14.00
| | sky | 14.7 | 14.6 | 14.7
| | S/N | 8.3 | 15.3 | 16.6
| | S/N(c) | 7.2 | 13.8 | 15.5
| | SN(E/C) | 0.98
|
|
|
|
|
|
|
| 3070050
| 47
| | Red | Green | Blue
| | z | | 18.40
| | znorm | | 14.22
| | sky | 14.6 | 14.5 | 14.6
| | S/N | 9.4 | 17.4 | 18.9
| | S/N(c) | 8.3 | 15.9 | 17.7
| | SN(E/C) | 0.97
|
|
|
|
|
|
|
| 3070051
| 47
| | Red | Green | Blue
| | z | | 18.62
| | znorm | | 14.44
| | sky | 14.7 | 14.6 | 14.7
| | S/N | 11.2 | 20.0 | 21.0
| | S/N(c) | 9.7 | 18.4 | 19.6
| | SN(E/C) | 0.90
|
|
|
|
|
|
|
| 3070052
| 47
| | Red | Green | Blue
| | z | | 18.82
| | znorm | | 14.64
| | sky | 14.6 | 14.6 | 14.6
| | S/N | 12.6 | 22.5 | 23.6
| | S/N(c) | 11.2 | 20.7 | 22.2
| | SN(E/C) | 0.92
|
|
|
|
|
|
|