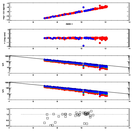
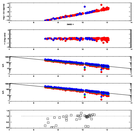
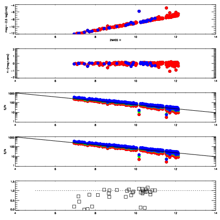
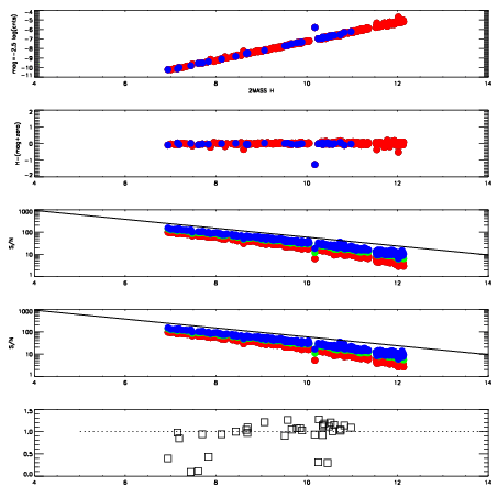
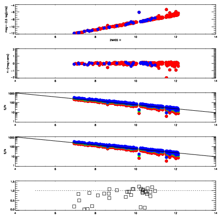
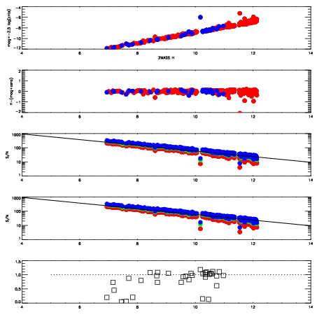
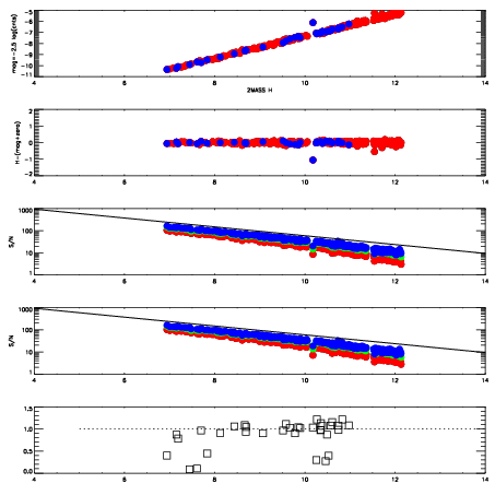
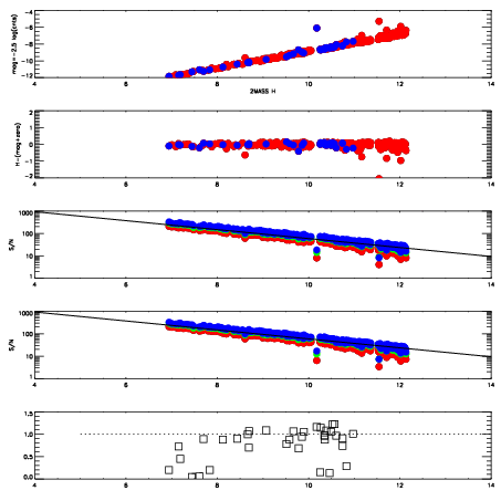
| Frame | Nreads | Zeropoints | Mag plots
| Spatial mag deviation
| Spatial sky 16325A emission deviations (filled: sky, open: star)
| Spatial sky continuum emission
| Spatial sky telluric CO2 absorption deviations (filled: H < 10)
|
| 2900025
| 47
| | Red | Green | Blue
| | z | | 17.24
| | znorm | | 13.06
| | sky | 15.1 | 14.9 | 15.7
| | S/N | 3.9 | 7.7 | 10.1
| | S/N(c) | 3.4 | 6.9 | 8.7
| | SN(E/C) | 1.03
|
|
|
|
|
|
|
| 2900026
| 47
| | Red | Green | Blue
| | z | | 17.34
| | znorm | | 13.16
| | sky | 15.1 | 14.9 | 15.7
| | S/N | 4.2 | 8.8 | 10.3
| | S/N(c) | 3.6 | 7.9 | 8.9
| | SN(E/C) | 0.98
|
|
|
|
|
|
|
| 2900027
| 47
| | Red | Green | Blue
| | z | | 17.97
| | znorm | | 13.79
| | sky | 15.0 | 15.0 | 15.4
| | S/N | 6.9 | 13.2 | 14.9
| | S/N(c) | 6.1 | 12.0 | 13.3
| | SN(E/C) | 1.00
|
|
|
|
|
|
|
| 2900028
| 47
| | Red | Green | Blue
| | z | | 18.85
| | znorm | | 14.67
| | sky | 15.0 | 14.6 | 14.7
| | S/N | 12.9 | 21.9 | 23.0
| | S/N(c) | 11.5 | 20.3 | 21.6
| | SN(E/C) | 0.94
|
|
|
|
|
|
|
| 2900029
| 47
| | Red | Green | Blue
| | z | | 19.01
| | znorm | | 14.83
| | sky | 14.4 | 14.6 | 14.8
| | S/N | 14.1 | 23.6 | 24.9
| | S/N(c) | 12.9 | 21.8 | 23.3
| | SN(E/C) | 0.91
|
|
|
|
|
|
|
| 2900030
| 47
| | Red | Green | Blue
| | z | | 18.88
| | znorm | | 14.69
| | sky | 14.8 | 14.7 | 14.9
| | S/N | 12.8 | 22.2 | 23.3
| | S/N(c) | 11.4 | 20.6 | 22.0
| | SN(E/C) | 0.96
|
|
|
|
|
|
|
| 2900031
| 47
| | Red | Green | Blue
| | z | | 18.83
| | znorm | | 14.65
| | sky | 14.8 | 14.8 | 14.9
| | S/N | 12.4 | 21.7 | 23.0
| | S/N(c) | 11.1 | 20.4 | 21.5
| | SN(E/C) | 0.88
|
|
|
|
|
|
|
| 2900032
| 47
| | Red | Green | Blue
| | z | | 18.88
| | znorm | | 14.70
| | sky | 14.5 | 14.7 | 15.0
| | S/N | 12.8 | 22.1 | 23.6
| | S/N(c) | 11.7 | 20.8 | 22.0
| | SN(E/C) | 0.90
|
|
|
|
|
|
|