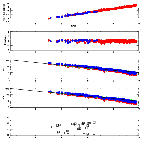
| Frame | Nreads | Zeropoints | Mag plots
| Spatial mag deviation
| Spatial sky 16325A emission deviations (filled: sky, open: star)
| Spatial sky continuum emission
| Spatial sky telluric CO2 absorption deviations (filled: H < 10)
|
| 10230012
| 47
| | Red | Green | Blue
| | z | | 19.03
| | znorm | | 14.85
| | sky | 14.3 | 13.9 | 13.8
| | S/N | 17.6 | 26.3 | 25.1
| | S/N(c) | 15.8 | 24.6 | 23.1
| | SN(E/C) | 0.87
|
|
|
|
|
|
|
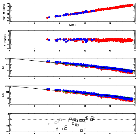
| 10230013
| 47
| | Red | Green | Blue
| | z | | 19.10
| | znorm | | 14.92
| | sky | 14.3 | 14.1 | 14.1
| | S/N | 17.6 | 26.4 | 25.9
| | S/N(c) | 15.9 | 24.5 | 23.6
| | SN(E/C) | 0.83
|
|
|
|
|
|
|
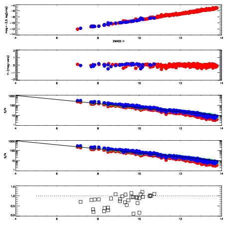
| 10230014
| 47
| | Red | Green | Blue
| | z | | 19.04
| | znorm | | 14.86
| | sky | 14.3 | 14.2 | 14.1
| | S/N | 16.8 | 25.7 | 24.2
| | S/N(c) | 14.9 | 23.8 | 22.0
| | SN(E/C) | 0.83
|
|
|
|
|
|
|
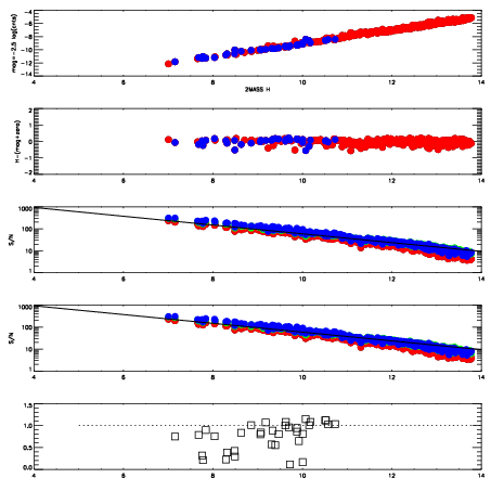
| 10230015
| 47
| | Red | Green | Blue
| | z | | 18.97
| | znorm | | 14.79
| | sky | 14.3 | 14.2 | 14.2
| | S/N | 16.1 | 24.6 | 23.4
| | S/N(c) | 14.4 | 22.9 | 21.3
| | SN(E/C) | 0.84
|
|
|
|
|
|
|
| 10230016
| 47
| | Red | Green | Blue
| | z | | 19.02
| | znorm | | 14.84
| | sky | 14.4 | 14.1 | 14.1
| | S/N | 16.2 | 25.0 | 23.5
| | S/N(c) | 14.5 | 23.2 | 21.1
| | SN(E/C) | 0.88
|
|
|
|
|
|
|
| 10230017
| 47
| | Red | Green | Blue
| | z | | 19.10
| | znorm | | 14.92
| | sky | 14.5 | 14.1 | 14.1
| | S/N | 17.4 | 25.7 | 24.7
| | S/N(c) | 15.6 | 23.9 | 22.5
| | SN(E/C) | 0.84
|
|
|
|
|
|
|
| 10230018
| 47
| | Red | Green | Blue
| | z | | 19.14
| | znorm | | 14.95
| | sky | 14.2 | 14.1 | 14.1
| | S/N | 17.3 | 26.3 | 24.9
| | S/N(c) | 15.6 | 24.3 | 22.6
| | SN(E/C) | 0.78
|
|
|
|
|
|
|
| 10230019
| 47
| | Red | Green | Blue
| | z | | 19.12
| | znorm | | 14.94
| | sky | 14.3 | 14.2 | 14.1
| | S/N | 17.0 | 26.0 | 24.3
| | S/N(c) | 15.2 | 24.1 | 21.8
| | SN(E/C) | 0.82
|
|
|
|
|
|
|