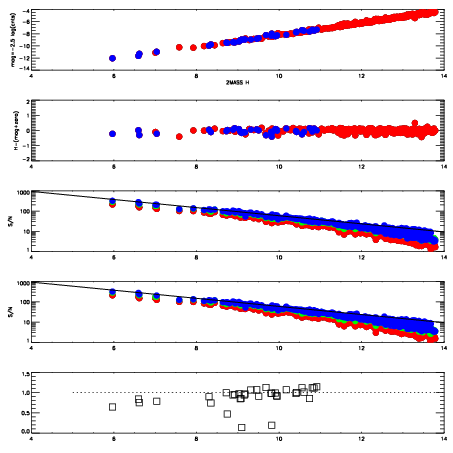
Left plots: red are targets, blue are telluric. Observed mags are calculated from median value of green chip. Zeropoint gives overall throughput: bigger number is more throughput.
First spatial plots: circles are objects, squares are tellurics, crosses are sky fibers. Colors give deviation of observed mag from expected 2MASS mag using the median zeropoint; red is brighter
Second spatial plots: circles are sky fibers. Colors give sky line brightness relative to plate median sky line brightness
FrameNreadsZeropointsMag plots Spatial mag deviation Spatial sky 16325A emission deviations (filled: sky, open: star) Spatial sky continuum emission Spatial sky telluric CO2 absorption deviations (filled: H < 10)
9090044 47
RedGreenBlue
z18.22
znorm14.04
sky 14.1 14.0 14.1
S/N 8.6 14.8 16.0
S/N(c) 7.7 13.8 14.9
SN(E/C) 0.95
9090045 47
RedGreenBlue
z17.59
znorm13.41
sky 13.7 13.7 14.0
S/N 4.8 9.6 10.5
S/N(c) 4.4 8.8 9.7
SN(E/C) 0.95
9090046 47
RedGreenBlue
z16.59
znorm12.41
sky 13.6 13.6 13.8
S/N 2.0 4.3 4.0
S/N(c) 1.9 3.7 4.1
SN(E/C) 1.03
9090047 47
RedGreenBlue
z16.34
znorm12.16
sky 13.6 13.6 14.0
S/N 1.7 3.6 3.5
S/N(c) 1.5 3.1 3.3
SN(E/C) 1.02