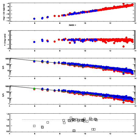
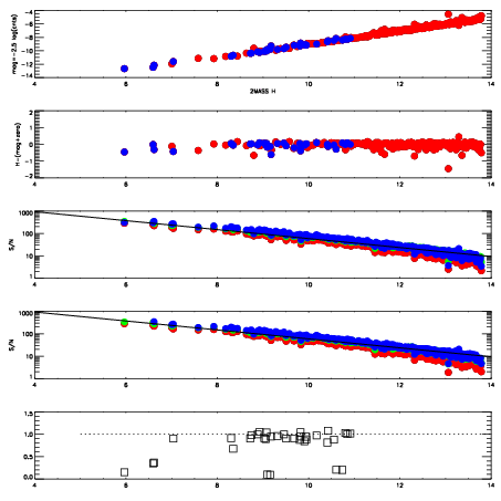
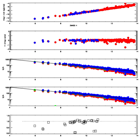
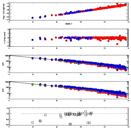
Left plots: red are targets, blue are telluric. Observed mags are calculated from median value of green chip. Zeropoint gives overall throughput: bigger number is more throughput.
First spatial plots: circles are objects, squares are tellurics, crosses are sky fibers. Colors give deviation of observed mag from expected 2MASS mag using the median zeropoint; red is brighter
Second spatial plots: circles are sky fibers. Colors give sky line brightness relative to plate median sky line brightness
FrameNreadsZeropointsMag plots Spatial mag deviation Spatial sky 16325A emission deviations (filled: sky, open: star) Spatial sky continuum emission Spatial sky telluric CO2 absorption deviations (filled: H < 10)
10110023 47
RedGreenBlue
z18.90
znorm14.72
sky 15.3 14.6 14.7
S/N 13.7 21.5 22.8
S/N(c) 12.0 20.0 22.1
SN(E/C) 0.94
10110024 47
RedGreenBlue
z19.01
znorm14.83
sky 15.1 14.7 14.6
S/N 14.2 22.8 23.6
S/N(c) 12.8 21.2 23.2
SN(E/C) 0.94
10110025 47
RedGreenBlue
z19.03
znorm14.85
sky 14.6 14.7 14.5
S/N 14.6 23.2 23.5
S/N(c) 12.9 21.5 22.9
SN(E/C) 0.91
10110026 47
RedGreenBlue
z19.07
znorm14.89
sky 14.9 14.6 14.5
S/N 14.7 23.9 23.9
S/N(c) 13.0 22.1 23.1
SN(E/C) 0.90