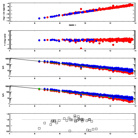
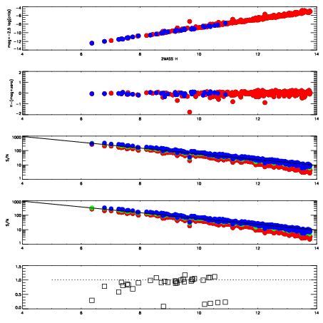
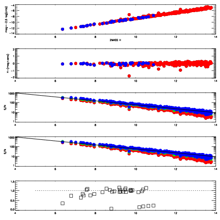
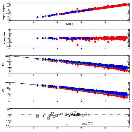
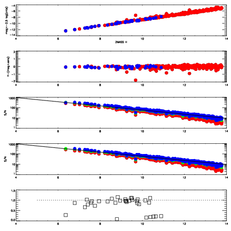
| Frame | Nreads | Zeropoints | Mag plots
| Spatial mag deviation
| Spatial sky 16325A emission deviations (filled: sky, open: star)
| Spatial sky continuum emission
| Spatial sky telluric CO2 absorption deviations (filled: H < 10)
|
| 3090023
| 47
| | Red | Green | Blue
| | z | | 18.87
| | znorm | | 14.69
| | sky | 15.2 | 15.0 | 14.8
| | S/N | 14.4 | 22.7 | 25.1
| | S/N(c) | 12.4 | 20.6 | 23.2
| | SN(E/C) | 0.92
|
|
|
|
|
|
|
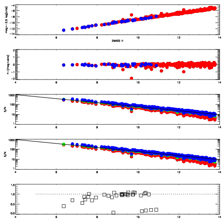
| 3090024
| 47
| | Red | Green | Blue
| | z | | 18.70
| | znorm | | 14.52
| | sky | 15.1 | 14.8 | 15.3
| | S/N | 13.3 | 21.2 | 23.6
| | S/N(c) | 11.5 | 19.3 | 21.6
| | SN(E/C) | 0.95
|
|
|
|
|
|
|
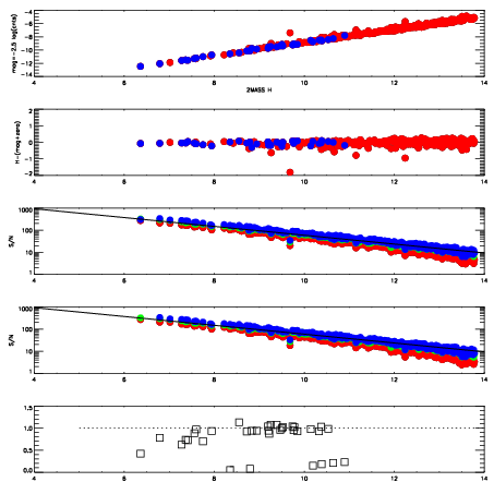
| 3090025
| 47
| | Red | Green | Blue
| | z | | 18.78
| | znorm | | 14.60
| | sky | 14.9 | 14.8 | 15.3
| | S/N | 14.0 | 22.0 | 24.7
| | S/N(c) | 12.2 | 20.0 | 22.6
| | SN(E/C) | 0.95
|
|
|
|
|
|
|
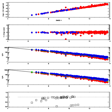
| 3090026
| 47
| | Red | Green | Blue
| | z | | 18.90
| | znorm | | 14.72
| | sky | 14.9 | 14.8 | 15.2
| | S/N | 15.2 | 23.2 | 26.4
| | S/N(c) | 13.2 | 21.3 | 24.5
| | SN(E/C) | 0.93
|
|
|
|
|
|
|
| 3090027
| 47
| | Red | Green | Blue
| | z | | 18.93
| | znorm | | 14.75
| | sky | 15.1 | 14.9 | 15.2
| | S/N | 15.5 | 23.9 | 26.9
| | S/N(c) | 13.2 | 21.7 | 24.9
| | SN(E/C) | 0.93
|
|
|
|
|
|
|
| 3090028
| 47
| | Red | Green | Blue
| | z | | 18.92
| | znorm | | 14.74
| | sky | 15.1 | 14.9 | 15.3
| | S/N | 15.6 | 23.7 | 26.7
| | S/N(c) | 13.3 | 21.9 | 24.6
| | SN(E/C) | 0.94
|
|
|
|
|
|
|
| 3090029
| 47
| | Red | Green | Blue
| | z | | 18.82
| | znorm | | 14.64
| | sky | 15.0 | 14.9 | 15.1
| | S/N | 14.7 | 22.5 | 25.2
| | S/N(c) | 12.4 | 20.8 | 23.3
| | SN(E/C) | 0.94
|
|
|
|
|
|
|
| 3090030
| 47
| | Red | Green | Blue
| | z | | 18.84
| | znorm | | 14.66
| | sky | 15.1 | 15.1 | 15.1
| | S/N | 14.8 | 22.9 | 25.5
| | S/N(c) | 12.5 | 21.0 | 23.6
| | SN(E/C) | 0.92
|
|
|
|
|
|
|