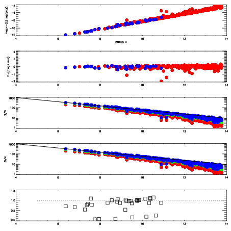
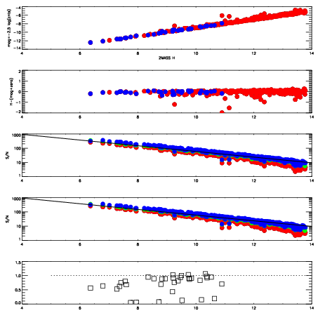
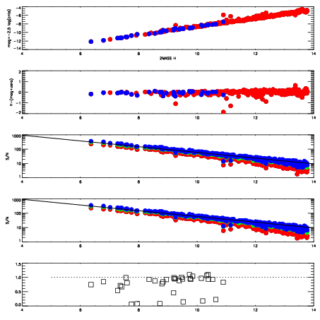
| Frame | Nreads | Zeropoints | Mag plots
| Spatial mag deviation
| Spatial sky 16325A emission deviations (filled: sky, open: star)
| Spatial sky continuum emission
| Spatial sky telluric CO2 absorption deviations (filled: H < 10)
|
| 9100044
| 47
| | Red | Green | Blue
| | z | | 18.67
| | znorm | | 14.49
| | sky | 14.6 | 14.5 | 14.7
| | S/N | 11.8 | 19.8 | 22.5
| | S/N(c) | 10.1 | 17.9 | 20.9
| | SN(E/C) | 0.88
|
|
|
|
|
|
|
| 9100045
| 47
| | Red | Green | Blue
| | z | | 18.68
| | znorm | | 14.50
| | sky | 14.5 | 14.3 | 14.8
| | S/N | 11.4 | 19.8 | 22.4
| | S/N(c) | 10.0 | 17.7 | 20.8
| | SN(E/C) | 0.90
|
|
|
|
|
|
|
| 9100046
| 47
| | Red | Green | Blue
| | z | | 17.82
| | znorm | | 13.64
| | sky | 13.9 | 13.9 | 14.3
| | S/N | 6.2 | 11.6 | 13.3
| | S/N(c) | 5.4 | 10.6 | 12.1
| | SN(E/C) | 0.94
|
|
|
|
|
|
|
| 9100047
| 47
| | Red | Green | Blue
| | z | | 18.14
| | znorm | | 13.96
| | sky | 14.1 | 14.2 | 14.6
| | S/N | 7.5 | 13.6 | 15.3
| | S/N(c) | 6.5 | 12.0 | 13.9
| | SN(E/C) | 0.92
|
|
|
|
|
|
|
| 9100048
| 47
| | Red | Green | Blue
| | z | | 18.03
| | znorm | | 13.85
| | sky | 14.2 | 14.2 | 14.6
| | S/N | 7.0 | 13.2 | 14.5
| | S/N(c) | 6.0 | 11.9 | 13.1
| | SN(E/C) | 0.97
|
|
|
|
|
|
|
| 9100049
| 47
| | Red | Green | Blue
| | z | | 18.33
| | znorm | | 14.15
| | sky | 14.4 | 14.3 | 14.8
| | S/N | 8.9 | 15.9 | 18.1
| | S/N(c) | 7.8 | 14.3 | 16.7
| | SN(E/C) | 0.87
|
|
|
|
|
|
|
| 9100050
| 47
| | Red | Green | Blue
| | z | | 18.83
| | znorm | | 14.65
| | sky | 14.5 | 14.6 | 15.0
| | S/N | 13.2 | 21.7 | 23.5
| | S/N(c) | 11.5 | 19.7 | 21.8
| | SN(E/C) | 0.88
|
|
|
|
|
|
|
| 9100051
| 47
| | Red | Green | Blue
| | z | | 18.97
| | znorm | | 14.79
| | sky | 14.3 | 14.3 | 14.6
| | S/N | 14.2 | 23.2 | 25.0
| | S/N(c) | 12.8 | 21.5 | 23.4
| | SN(E/C) | 0.82
|
|
|
|
|
|
|