| Frame | Nreads | Zeropoints | Mag plots
| Spatial mag deviation
| Spatial sky 16325A emission deviations (filled: sky, open: star)
| Spatial sky continuum emission
| Spatial sky telluric CO2 absorption deviations (filled: H < 10)
|
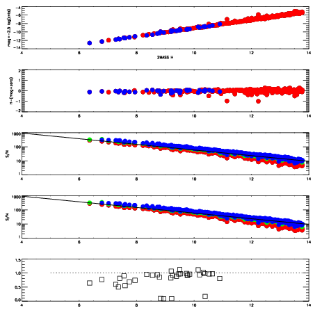
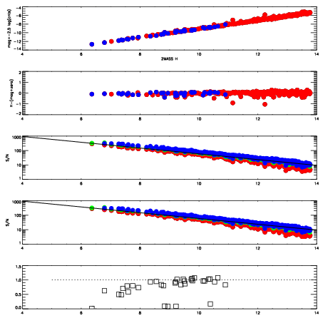
| 3050024
| 47
| | Red | Green | Blue
| | z | | 19.15
| | znorm | | 14.97
| | sky | 14.8 | 14.6 | 14.6
| | S/N | 17.2 | 27.6 | 28.8
| | S/N(c) | 15.5 | 25.8 | 26.9
| | SN(E/C) | 0.87
|
|
|
|
|
|
|
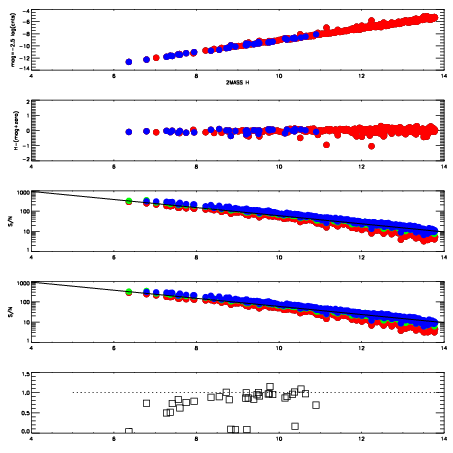
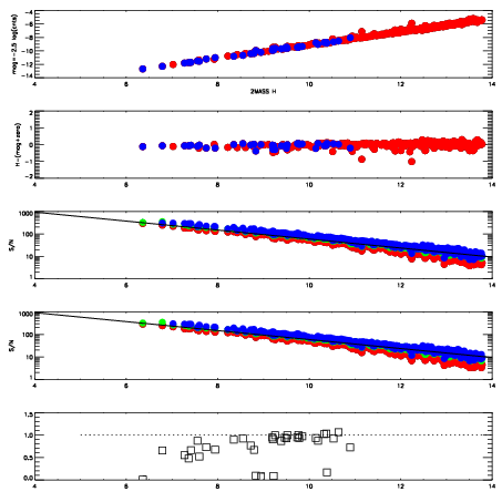
| 3050025
| 47
| | Red | Green | Blue
| | z | | 19.14
| | znorm | | 14.96
| | sky | 14.7 | 14.6 | 14.9
| | S/N | 17.3 | 27.4 | 29.0
| | S/N(c) | 15.6 | 25.9 | 26.7
| | SN(E/C) | 0.89
|
|
|
|
|
|
|
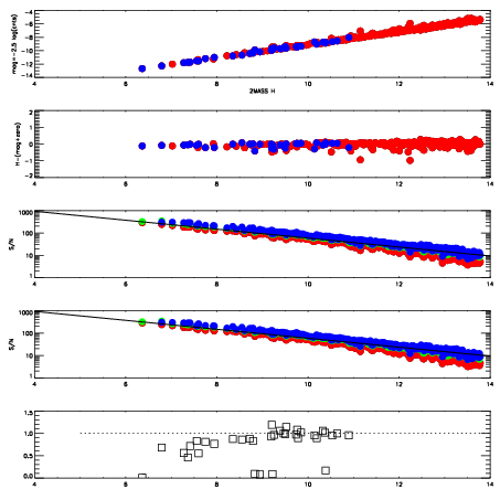
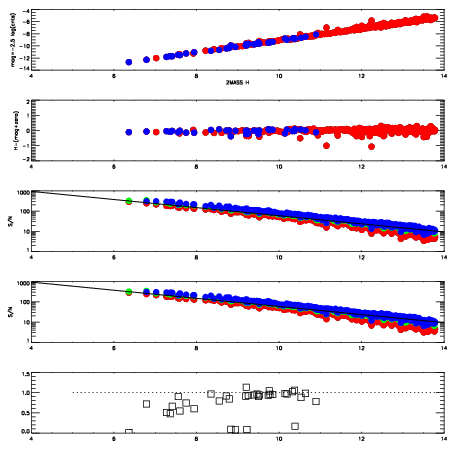
| 3050026
| 47
| | Red | Green | Blue
| | z | | 19.13
| | znorm | | 14.95
| | sky | 14.7 | 14.6 | 14.9
| | S/N | 17.1 | 27.4 | 28.6
| | S/N(c) | 15.6 | 25.9 | 26.8
| | SN(E/C) | 0.86
|
|
|
|
|
|
|
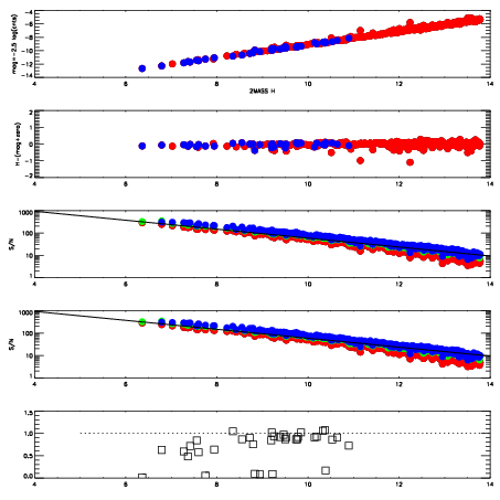
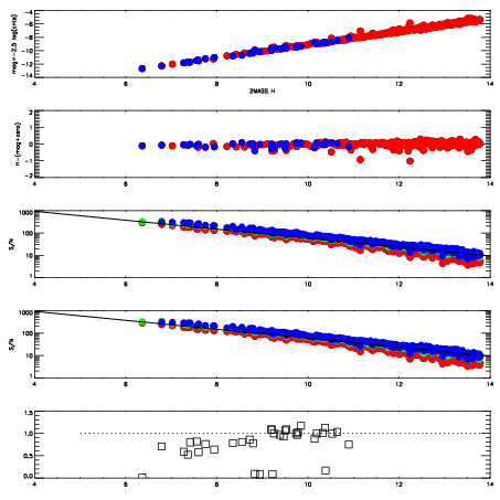
| 3050027
| 47
| | Red | Green | Blue
| | z | | 19.12
| | znorm | | 14.94
| | sky | 14.9 | 14.6 | 14.9
| | S/N | 17.0 | 27.3 | 28.6
| | S/N(c) | 15.3 | 25.7 | 26.7
| | SN(E/C) | 0.87
|
|
|
|
|
|
|
| 3050028
| 47
| | Red | Green | Blue
| | z | | 19.13
| | znorm | | 14.95
| | sky | 14.6 | 14.7 | 14.9
| | S/N | 17.0 | 27.5 | 28.7
| | S/N(c) | 15.4 | 26.0 | 27.0
| | SN(E/C) | 0.90
|
|
|
|
|
|
|
| 3050029
| 47
| | Red | Green | Blue
| | z | | 19.09
| | znorm | | 14.91
| | sky | 15.1 | 14.7 | 14.9
| | S/N | 16.6 | 26.9 | 28.2
| | S/N(c) | 15.1 | 25.2 | 26.4
| | SN(E/C) | 0.86
|
|
|
|
|
|
|
| 3050030
| 47
| | Red | Green | Blue
| | z | | 19.13
| | znorm | | 14.95
| | sky | 14.7 | 14.7 | 15.0
| | S/N | 16.9 | 27.5 | 28.6
| | S/N(c) | 15.2 | 25.8 | 26.8
| | SN(E/C) | 0.86
|
|
|
|
|
|
|
| 3050031
| 47
| | Red | Green | Blue
| | z | | 19.12
| | znorm | | 14.94
| | sky | 14.7 | 14.8 | 15.1
| | S/N | 17.0 | 27.3 | 28.5
| | S/N(c) | 15.2 | 25.6 | 26.6
| | SN(E/C) | 0.91
|
|
|
|
|
|
|