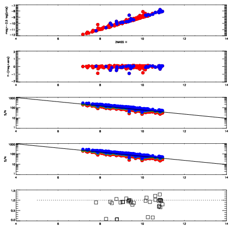
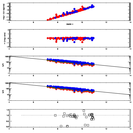
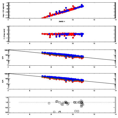
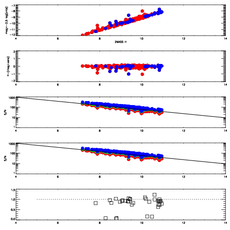
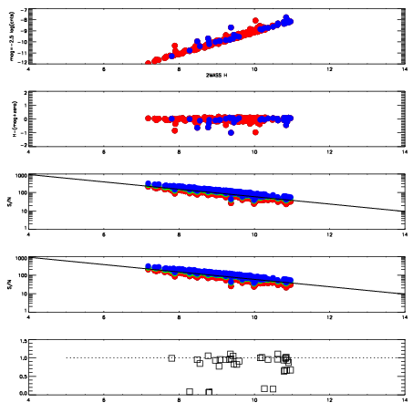
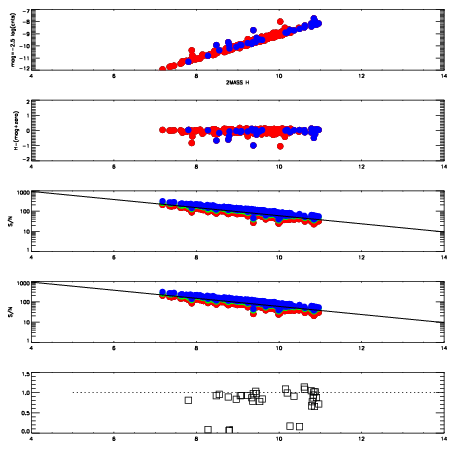
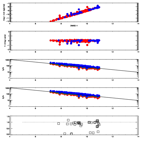
| Frame | Nreads | Zeropoints | Mag plots
| Spatial mag deviation
| Spatial sky 16325A emission deviations (filled: sky, open: star)
| Spatial sky continuum emission
| Spatial sky telluric CO2 absorption deviations (filled: H < 10)
|
| 3140008
| 47
| | Red | Green | Blue
| | z | | 18.94
| | znorm | | 14.76
| | sky | 14.4 | 14.1 | 13.9
| | S/N | 18.1 | 27.5 | 30.7
| | S/N(c) | 16.8 | 26.5 | 29.7
| | SN(E/C) | 0.92
|
|
|
|
|
|
|
| 3140009
| 47
| | Red | Green | Blue
| | z | | 18.96
| | znorm | | 14.78
| | sky | 14.4 | 14.2 | 14.2
| | S/N | 18.3 | 27.8 | 31.1
| | S/N(c) | 17.2 | 26.8 | 30.1
| | SN(E/C) | 0.91
|
|
|
|
|
|
|
| 3140010
| 47
| | Red | Green | Blue
| | z | | 19.03
| | znorm | | 14.85
| | sky | 14.8 | 14.3 | 14.3
| | S/N | 18.9 | 28.6 | 32.1
| | S/N(c) | 17.7 | 27.6 | 31.1
| | SN(E/C) | 0.89
|
|
|
|
|
|
|
| 3140011
| 47
| | Red | Green | Blue
| | z | | 19.07
| | znorm | | 14.89
| | sky | 14.3 | 14.3 | 14.4
| | S/N | 19.2 | 29.1 | 32.7
| | S/N(c) | 17.9 | 28.1 | 31.7
| | SN(E/C) | 0.94
|
|
|
|
|
|
|
| 3140012
| 47
| | Red | Green | Blue
| | z | | 19.04
| | znorm | | 14.86
| | sky | 14.5 | 14.4 | 14.4
| | S/N | 19.0 | 28.6 | 32.1
| | S/N(c) | 17.7 | 27.7 | 31.2
| | SN(E/C) | 0.91
|
|
|
|
|
|
|
| 3140013
| 47
| | Red | Green | Blue
| | z | | 19.08
| | znorm | | 14.90
| | sky | 14.6 | 14.3 | 14.5
| | S/N | 19.3 | 29.1 | 32.7
| | S/N(c) | 18.1 | 28.2 | 31.7
| | SN(E/C) | 0.90
|
|
|
|
|
|
|
| 3140014
| 47
| | Red | Green | Blue
| | z | | 19.11
| | znorm | | 14.93
| | sky | 14.6 | 14.3 | 14.4
| | S/N | 19.6 | 29.5 | 33.1
| | S/N(c) | 18.2 | 28.5 | 32.1
| | SN(E/C) | 0.95
|
|
|
|
|
|
|
| 3140015
| 47
| | Red | Green | Blue
| | z | | 19.07
| | znorm | | 14.89
| | sky | 14.4 | 14.3 | 14.3
| | S/N | 19.1 | 28.9 | 32.3
| | S/N(c) | 17.8 | 27.9 | 31.3
| | SN(E/C) | 0.89
|
|
|
|
|
|
|