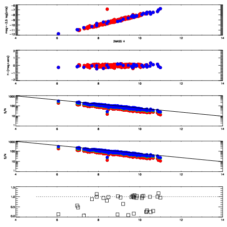
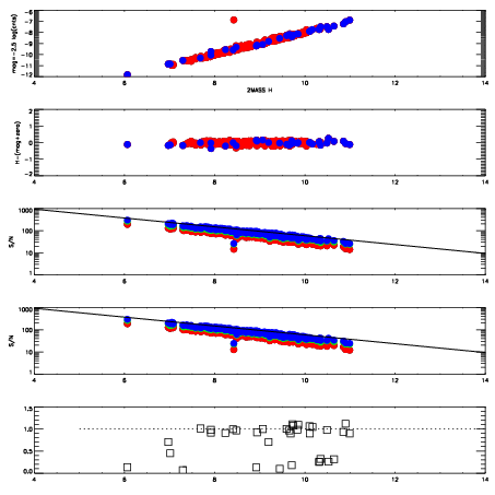
| Frame | Nreads | Zeropoints | Mag plots
| Spatial mag deviation
| Spatial sky 16325A emission deviations (filled: sky, open: star)
| Spatial sky continuum emission
| Spatial sky telluric CO2 absorption deviations (filled: H < 10)
|
| 3090008
| 47
| | Red | Green | Blue
| | z | | 17.93
| | znorm | | 13.75
| | sky | 14.6 | 14.2 | 14.2
| | S/N | 8.7 | 14.3 | 15.0
| | S/N(c) | 7.5 | 12.8 | 14.1
| | SN(E/C) | 0.94
|
|
|
|
|
|
|
| 3090009
| 47
| | Red | Green | Blue
| | z | | 18.05
| | znorm | | 13.87
| | sky | 14.6 | 14.5 | 14.5
| | S/N | 8.8 | 14.4 | 15.0
| | S/N(c) | 7.5 | 13.0 | 14.4
| | SN(E/C) | 0.95
|
|
|
|
|
|
|
| 3090010
| 47
| | Red | Green | Blue
| | z | | 18.17
| | znorm | | 13.99
| | sky | 14.7 | 14.4 | 14.4
| | S/N | 9.7 | 15.5 | 16.3
| | S/N(c) | 8.3 | 14.1 | 15.5
| | SN(E/C) | 0.89
|
|
|
|
|
|
|
| 3090011
| 47
| | Red | Green | Blue
| | z | | 17.92
| | znorm | | 13.74
| | sky | 14.8 | 14.5 | 14.5
| | S/N | 8.6 | 14.2 | 14.9
| | S/N(c) | 7.4 | 12.8 | 14.2
| | SN(E/C) | 0.96
|
|
|
|
|
|
|
| 3090012
| 47
| | Red | Green | Blue
| | z | | 17.37
| | znorm | | 13.19
| | sky | 14.6 | 14.7 | 14.7
| | S/N | 5.7 | 10.1 | 11.0
| | S/N(c) | 4.7 | 8.9 | 10.3
| | SN(E/C) | 0.97
|
|
|
|
|
|
|
| 3090013
| 47
| | Red | Green | Blue
| | z | | 17.29
| | znorm | | 13.11
| | sky | 14.7 | 14.7 | 14.7
| | S/N | 5.6 | 9.7 | 10.7
| | S/N(c) | 4.6 | 8.6 | 10.0
| | SN(E/C) | 0.97
|
|
|
|
|
|
|
| 3090014
| 47
| | Red | Green | Blue
| | z | | 17.99
| | znorm | | 13.81
| | sky | 14.6 | 14.5 | 14.5
| | S/N | 8.8 | 14.4 | 15.2
| | S/N(c) | 7.4 | 13.0 | 14.4
| | SN(E/C) | 0.91
|
|
|
|
|
|
|
| 3090015
| 47
| | Red | Green | Blue
| | z | | 18.35
| | znorm | | 14.17
| | sky | 14.4 | 14.4 | 14.4
| | S/N | 10.9 | 17.4 | 18.4
| | S/N(c) | 9.4 | 15.8 | 17.4
| | SN(E/C) | 0.91
|
|
|
|
|
|
|