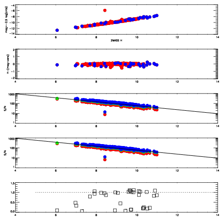
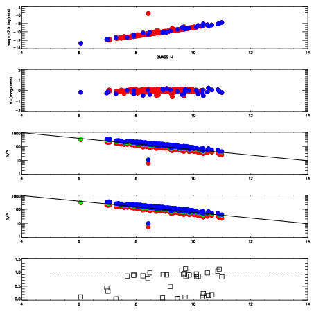
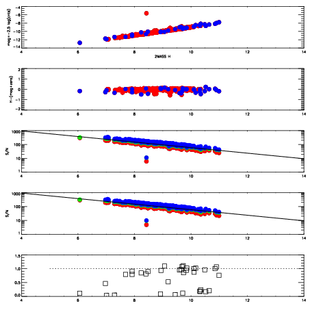
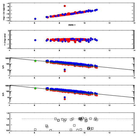
| Frame | Nreads | Zeropoints | Mag plots
| Spatial mag deviation
| Spatial sky 16325A emission deviations (filled: sky, open: star)
| Spatial sky continuum emission
| Spatial sky telluric CO2 absorption deviations (filled: H < 10)
|
| 3100014
| 47
| | Red | Green | Blue
| | z | | 18.97
| | znorm | | 14.79
| | sky | 14.2 | 13.9 | 13.8
| | S/N | 15.7 | 23.8 | 25.3
| | S/N(c) | 14.2 | 21.9 | 24.3
| | SN(E/C) | 0.85
|
|
|
|
|
|
|
| 3100015
| 47
| | Red | Green | Blue
| | z | | 18.91
| | znorm | | 14.73
| | sky | 14.3 | 14.1 | 14.1
| | S/N | 14.9 | 22.9 | 24.7
| | S/N(c) | 13.3 | 21.0 | 23.7
| | SN(E/C) | 0.88
|
|
|
|
|
|
|
| 3100016
| 47
| | Red | Green | Blue
| | z | | 18.97
| | znorm | | 14.79
| | sky | 14.2 | 14.1 | 14.1
| | S/N | 15.3 | 23.6 | 25.6
| | S/N(c) | 13.7 | 21.8 | 24.5
| | SN(E/C) | 0.85
|
|
|
|
|
|
|
| 3100017
| 47
| | Red | Green | Blue
| | z | | 18.71
| | znorm | | 14.53
| | sky | 14.3 | 14.2 | 14.1
| | S/N | 13.6 | 20.9 | 23.1
| | S/N(c) | 12.0 | 19.2 | 22.1
| | SN(E/C) | 0.90
|
|
|
|
|
|
|
| 3100018
| 47
| | Red | Green | Blue
| | z | | 18.79
| | znorm | | 14.61
| | sky | 14.3 | 14.2 | 14.1
| | S/N | 14.3 | 21.8 | 24.1
| | S/N(c) | 12.6 | 20.1 | 23.1
| | SN(E/C) | 0.86
|
|
|
|
|
|
|
| 3100019
| 47
| | Red | Green | Blue
| | z | | 18.85
| | znorm | | 14.67
| | sky | 14.3 | 14.2 | 14.1
| | S/N | 14.6 | 22.5 | 25.0
| | S/N(c) | 12.9 | 20.7 | 24.0
| | SN(E/C) | 0.88
|
|
|
|
|
|
|
| 3100020
| 47
| | Red | Green | Blue
| | z | | 18.81
| | znorm | | 14.63
| | sky | 14.2 | 14.2 | 14.2
| | S/N | 14.5 | 22.2 | 24.9
| | S/N(c) | 12.8 | 20.6 | 23.8
| | SN(E/C) | 0.84
|
|
|
|
|
|
|
| 3100021
| 47
| | Red | Green | Blue
| | z | | 18.99
| | znorm | | 14.81
| | sky | 14.3 | 14.1 | 14.1
| | S/N | 15.9 | 24.2 | 26.9
| | S/N(c) | 14.2 | 22.4 | 25.7
| | SN(E/C) | 0.89
|
|
|
|
|
|
|