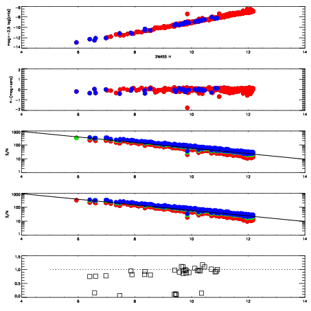
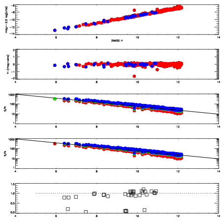
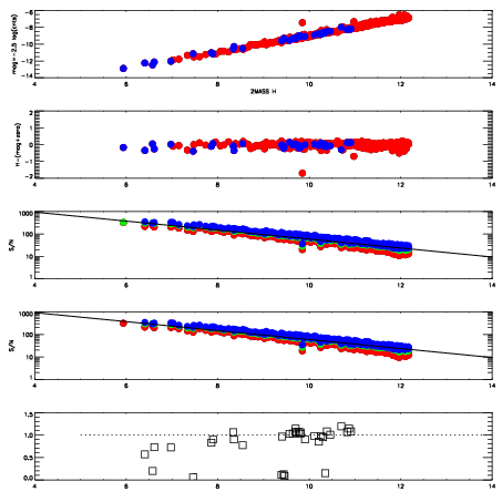
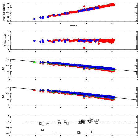
Left plots: red are targets, blue are telluric. Observed mags are calculated from median value of green chip. Zeropoint gives overall throughput: bigger number is more throughput.
First spatial plots: circles are objects, squares are tellurics, crosses are sky fibers. Colors give deviation of observed mag from expected 2MASS mag using the median zeropoint; red is brighter
Second spatial plots: circles are sky fibers. Colors give sky line brightness relative to plate median sky line brightness
FrameNreadsZeropointsMag plots Spatial mag deviation Spatial sky 16325A emission deviations (filled: sky, open: star) Spatial sky continuum emission Spatial sky telluric CO2 absorption deviations (filled: H < 10)
3050046 47
RedGreenBlue
z18.99
znorm14.81
sky 15.1 14.7 14.9
S/N 15.6 23.6 27.4
S/N(c) 14.1 22.0 25.7
SN(E/C) 0.98
3050047 47
RedGreenBlue
z19.02
znorm14.84
sky 14.8 14.8 15.2
S/N 15.8 24.0 27.3
S/N(c) 14.1 22.7 25.8
SN(E/C) 0.93
3050048 47
RedGreenBlue
z18.94
znorm14.76
sky 14.9 14.8 15.2
S/N 14.7 23.2 26.0
S/N(c) 13.3 21.8 24.5
SN(E/C) 0.96
3050049 47
RedGreenBlue
z18.90
znorm14.72
sky 15.0 14.7 15.3
S/N 14.4 22.4 25.9
S/N(c) 12.8 21.3 24.0
SN(E/C) 0.97