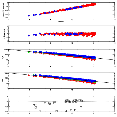
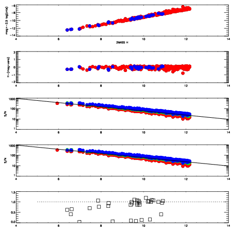
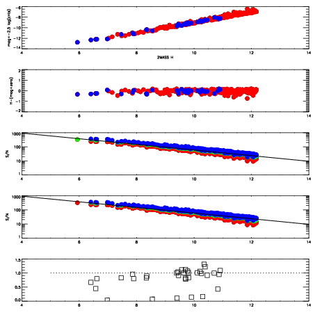
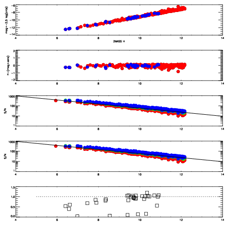
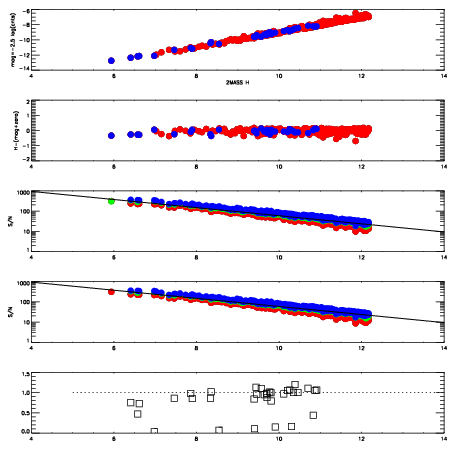
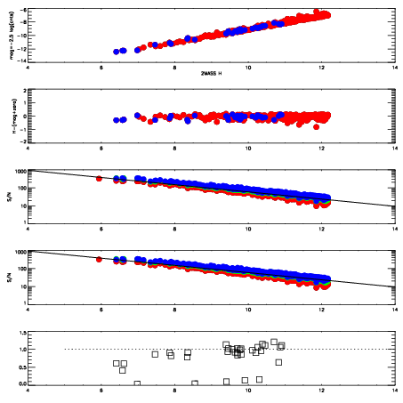
| Frame | Nreads | Zeropoints | Mag plots
| Spatial mag deviation
| Spatial sky 16325A emission deviations (filled: sky, open: star)
| Spatial sky continuum emission
| Spatial sky telluric CO2 absorption deviations (filled: H < 10)
|
| 10230060
| 47
| | Red | Green | Blue
| | z | | 19.04
| | znorm | | 14.86
| | sky | 15.0 | 14.5 | 14.6
| | S/N | 15.6 | 24.2 | 28.0
| | S/N(c) | 13.8 | 22.9 | 26.3
| | SN(E/C) | 0.92
|
|
|
|
|
|
|
| 10230061
| 47
| | Red | Green | Blue
| | z | | 19.07
| | znorm | | 14.89
| | sky | 14.6 | 14.5 | 14.7
| | S/N | 16.0 | 24.8 | 28.7
| | S/N(c) | 14.2 | 23.3 | 26.8
| | SN(E/C) | 0.94
|
|
|
|
|
|
|
| 10230062
| 47
| | Red | Green | Blue
| | z | | 19.06
| | znorm | | 14.88
| | sky | 14.8 | 14.5 | 14.8
| | S/N | 15.9 | 24.7 | 28.4
| | S/N(c) | 13.9 | 23.3 | 26.5
| | SN(E/C) | 0.92
|
|
|
|
|
|
|
| 10230063
| 47
| | Red | Green | Blue
| | z | | 19.12
| | znorm | | 14.94
| | sky | 14.8 | 14.6 | 14.8
| | S/N | 16.6 | 25.4 | 28.9
| | S/N(c) | 14.8 | 23.7 | 27.4
| | SN(E/C) | 0.91
|
|
|
|
|
|
|
| 10230064
| 47
| | Red | Green | Blue
| | z | | 19.12
| | znorm | | 14.94
| | sky | 14.6 | 14.6 | 15.0
| | S/N | 16.5 | 25.7 | 29.3
| | S/N(c) | 14.6 | 24.0 | 27.4
| | SN(E/C) | 0.93
|
|
|
|
|
|
|
| 10230065
| 47
| | Red | Green | Blue
| | z | | 19.14
| | znorm | | 14.96
| | sky | 14.8 | 14.7 | 14.9
| | S/N | 16.7 | 26.4 | 29.3
| | S/N(c) | 15.0 | 24.3 | 27.8
| | SN(E/C) | 0.91
|
|
|
|
|
|
|
| 10230066
| 47
| | Red | Green | Blue
| | z | | 19.08
| | znorm | | 14.90
| | sky | 14.7 | 14.8 | 15.0
| | S/N | 16.0 | 25.3 | 28.5
| | S/N(c) | 14.3 | 23.5 | 26.6
| | SN(E/C) | 0.93
|
|
|
|
|
|
|
| 10230067
| 47
| | Red | Green | Blue
| | z | | 19.02
| | znorm | | 14.84
| | sky | 14.7 | 14.7 | 14.9
| | S/N | 15.5 | 24.6 | 27.3
| | S/N(c) | 13.7 | 22.9 | 25.6
| | SN(E/C) | 0.97
|
|
|
|
|
|
|
| 10230068
| 47
| | Red | Green | Blue
| | z | | 19.06
| | znorm | | 14.88
| | sky | 14.9 | 14.7 | 14.9
| | S/N | 15.8 | 25.2 | 28.0
| | S/N(c) | 14.1 | 23.4 | 26.0
| | SN(E/C) | 0.90
|
|
|
|
|
|
|
| 10230069
| 47
| | Red | Green | Blue
| | z | | 19.07
| | znorm | | 14.89
| | sky | 14.7 | 14.8 | 14.9
| | S/N | 15.9 | 25.1 | 27.9
| | S/N(c) | 14.2 | 23.3 | 26.2
| | SN(E/C) | 0.93
|
|
|
|
|
|
|