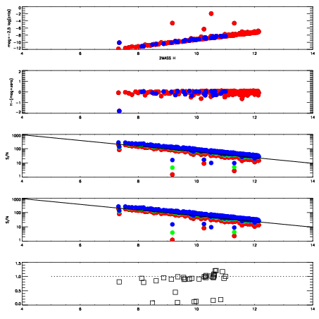
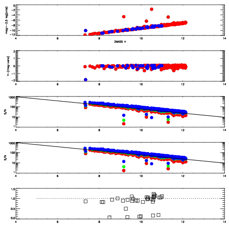
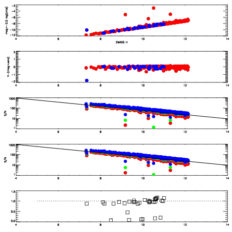
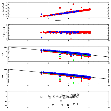
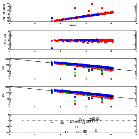
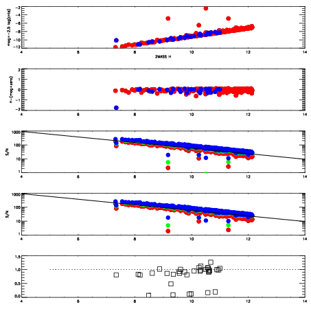
| Frame | Nreads | Zeropoints | Mag plots
| Spatial mag deviation
| Spatial sky 16325A emission deviations (filled: sky, open: star)
| Spatial sky continuum emission
| Spatial sky telluric CO2 absorption deviations (filled: H < 10)
|
| 9980048
| 47
| | Red | Green | Blue
| | z | | 18.93
| | znorm | | 14.75
| | sky | 15.1 | 14.6 | 14.9
| | S/N | 14.3 | 23.2 | 24.8
| | S/N(c) | 12.5 | 21.8 | 23.3
| | SN(E/C) | 0.95
|
|
|
|
|
|
|
| 9980049
| 47
| | Red | Green | Blue
| | z | | 19.18
| | znorm | | 15.00
| | sky | 14.9 | 14.5 | 14.9
| | S/N | 16.4 | 26.2 | 28.3
| | S/N(c) | 14.7 | 24.7 | 26.8
| | SN(E/C) | 0.95
|
|
|
|
|
|
|
| 9980050
| 47
| | Red | Green | Blue
| | z | | 19.22
| | znorm | | 15.04
| | sky | 14.7 | 14.5 | 15.0
| | S/N | 16.6 | 27.2 | 29.1
| | S/N(c) | 14.9 | 25.7 | 27.4
| | SN(E/C) | 0.91
|
|
|
|
|
|
|
| 9980051
| 47
| | Red | Green | Blue
| | z | | 19.20
| | znorm | | 15.02
| | sky | 14.7 | 14.6 | 14.9
| | S/N | 16.5 | 26.5 | 28.3
| | S/N(c) | 14.6 | 25.0 | 26.9
| | SN(E/C) | 0.92
|
|
|
|
|
|
|
| 9980052
| 47
| | Red | Green | Blue
| | z | | 19.20
| | znorm | | 15.02
| | sky | 14.8 | 14.6 | 14.8
| | S/N | 16.4 | 26.8 | 28.4
| | S/N(c) | 14.8 | 25.3 | 27.0
| | SN(E/C) | 0.93
|
|
|
|
|
|
|
| 9980053
| 47
| | Red | Green | Blue
| | z | | 19.23
| | znorm | | 15.05
| | sky | 14.7 | 14.7 | 14.8
| | S/N | 17.0 | 27.5 | 29.2
| | S/N(c) | 15.2 | 25.9 | 27.8
| | SN(E/C) | 0.94
|
|
|
|
|
|
|
| 9980054
| 47
| | Red | Green | Blue
| | z | | 19.24
| | znorm | | 15.06
| | sky | 14.8 | 14.6 | 14.8
| | S/N | 16.7 | 27.5 | 29.5
| | S/N(c) | 15.3 | 26.0 | 28.1
| | SN(E/C) | 0.93
|
|
|
|
|
|
|
| 9980055
| 47
| | Red | Green | Blue
| | z | | 19.20
| | znorm | | 15.02
| | sky | 14.7 | 14.7 | 15.0
| | S/N | 16.4 | 27.1 | 28.8
| | S/N(c) | 14.9 | 25.5 | 27.4
| | SN(E/C) | 0.94
|
|
|
|
|
|
|