PLATE: 5564 MJD: 55903 FIELD: M67

FrameCartsec zseeingNreadsDitherPixshiftZerosky continuumS/NS/N(c)
3410092 8 1.07 1.47 47 0.00 0.00 19.09 [15.22,14.40,14.27] [ 16.9, 27.4, 29.2] [ 14.9, 25.6, 27.6]
3410093 8 1.07 1.67 47 0.34 0.00 19.13 [14.83,14.45,14.53] [ 17.7, 28.0, 30.3] [ 15.4, 26.1, 28.5]
3410094 8 1.07 1.56 47 0.35 -0.00 18.96 [15.03,14.61,14.70] [ 16.1, 26.0, 27.7] [ 13.9, 24.1, 26.0]
3410095 8 1.07 1.66 47 -0.02 0.00 19.10 [14.67,14.53,14.55] [ 17.3, 27.7, 29.6] [ 15.2, 25.8, 28.0]
3410096 8 1.08 1.51 47 -0.02 0.00 19.08 [14.59,14.48,14.56] [ 17.1, 27.7, 29.7] [ 15.2, 25.6, 28.1]
3410097 8 1.08 1.74 47 0.33 -0.00 19.07 [14.90,14.54,14.60] [ 16.9, 27.4, 29.4] [ 14.8, 25.5, 27.6]
3410098 8 1.09 1.60 47 0.34 -0.00 19.12 [14.55,14.57,14.52] [ 17.3, 28.4, 30.4] [ 15.7, 26.4, 28.8]
3410099 8 1.10 1.52 47 -0.02 -0.00 19.11 [15.00,14.49,14.48] [ 17.8, 28.3, 30.3] [ 15.7, 26.3, 28.7]
3410100 8 1.11 1.66 47 -0.03 0.00 19.12 [14.95,14.62,14.52] [ 17.7, 28.5, 30.6] [ 15.6, 26.5, 29.0]
3410101 8 1.12 1.84 47 0.34 -0.00 18.83 [14.97,14.66,14.74] [ 14.9, 24.6, 26.0] [ 12.9, 22.7, 24.3]
3410102 8 1.13 1.70 47 0.33 -0.00 18.97 [14.62,14.80,14.61] [ 16.1, 26.5, 28.1] [ 14.1, 24.4, 26.5]

IPAIRNAMESHIFTNEWSHIFTS/N NAMESHIFTNEWSHIFTS/N
0 03410094 0.346 0.000 249.82 03410096 -0.025 0.370 262.69
1 03410093 0.342 0.003 269.73 03410095 -0.025 0.370 267.54
2 03410098 0.337 0.009 267.19 03410099 -0.023 0.369 267.20
3 03410097 0.329 0.017 261.03 03410092 0.000 0.346 266.53
4 03410102 0.330 0.016 250.56 03410100 -0.027 0.372 265.83

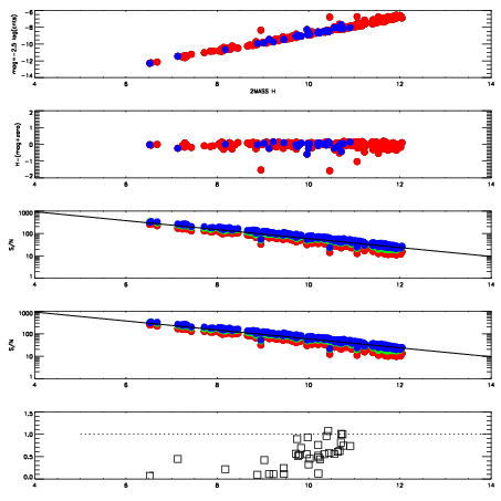
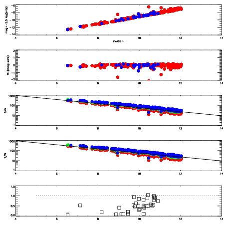
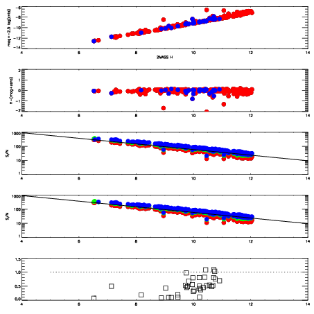
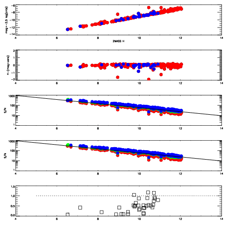
Visit (multiple exposure and dither combined) spectra

FrameZeropointsMag plots Spatial mag deviation Spatial sky 16325A emission deviations (filled: sky, open: star) Spatial sky continuum emission Spatial sky telluric CO2 absorption deviations (filled: H < 10)
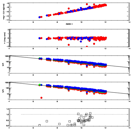
3410092
RedGreenBlue
z19.09
znorm14.91
sky 15.2 14.4 14.3
S/N 16.9 27.4 29.2
S/N(c) 14.9 25.6 27.6
SN(E/C) 0.48
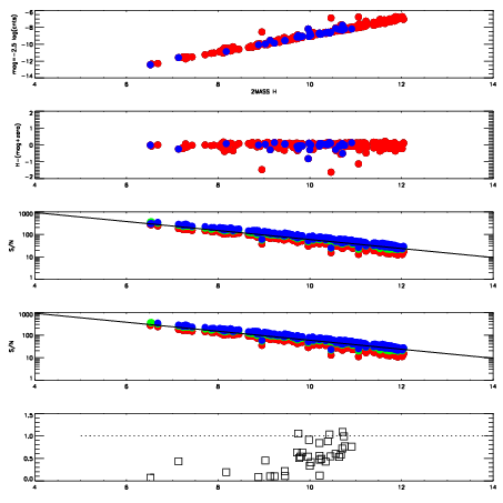
3410093
RedGreenBlue
z19.13
znorm14.95
sky 14.8 14.4 14.5
S/N 17.7 28.0 30.3
S/N(c) 15.4 26.1 28.5
SN(E/C) 0.49
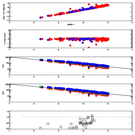
3410094
RedGreenBlue
z18.96
znorm14.78
sky 15.0 14.6 14.7
S/N 16.1 26.0 27.7
S/N(c) 13.9 24.1 26.0
SN(E/C) 0.54
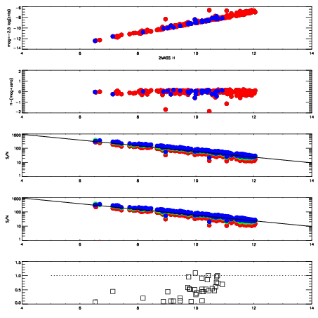
3410095
RedGreenBlue
z19.10
znorm14.92
sky 14.7 14.5 14.5
S/N 17.3 27.7 29.6
S/N(c) 15.2 25.8 28.0
SN(E/C) 0.48
3410096
RedGreenBlue
z19.08
znorm14.90
sky 14.6 14.5 14.6
S/N 17.1 27.7 29.7
S/N(c) 15.2 25.6 28.1
SN(E/C) 0.49
3410097
RedGreenBlue
z19.07
znorm14.89
sky 14.9 14.5 14.6
S/N 16.9 27.4 29.4
S/N(c) 14.8 25.5 27.6
SN(E/C) 0.48
3410098
RedGreenBlue
z19.12
znorm14.94
sky 14.5 14.6 14.5
S/N 17.3 28.4 30.4
S/N(c) 15.7 26.4 28.8
SN(E/C) 0.49
3410099
RedGreenBlue
z19.11
znorm14.93
sky 15.0 14.5 14.5
S/N 17.8 28.3 30.3
S/N(c) 15.7 26.3 28.7
SN(E/C) 0.51
3410100
RedGreenBlue
z19.12
znorm14.94
sky 15.0 14.6 14.5
S/N 17.7 28.5 30.6
S/N(c) 15.6 26.5 29.0
SN(E/C) 0.49
3410101
RedGreenBlue
z18.83
znorm14.65
sky 15.0 14.7 14.7
S/N 14.9 24.6 26.0
S/N(c) 12.9 22.7 24.3
SN(E/C) 0.55
3410102
RedGreenBlue
z18.97
znorm14.79
sky 14.6 14.8 14.6
S/N 16.1 26.5 28.1
S/N(c) 14.1 24.4 26.5
SN(E/C) 0.50