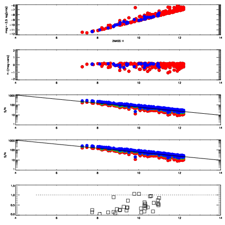
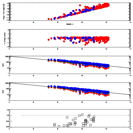
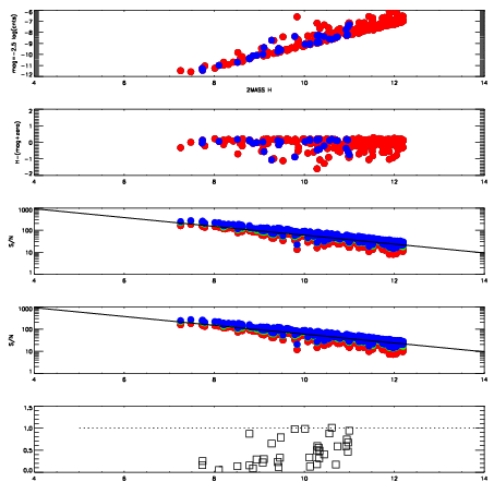
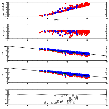
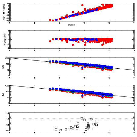
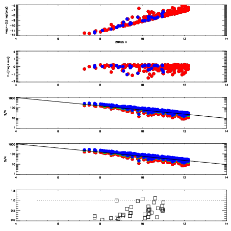
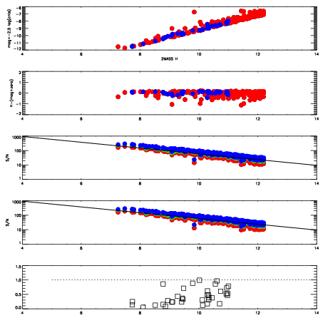
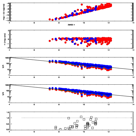
| Frame | Nreads | Zeropoints | Mag plots
| Spatial mag deviation
| Spatial sky 16325A emission deviations (filled: sky, open: star)
| Spatial sky continuum emission
| Spatial sky telluric CO2 absorption deviations (filled: H < 10)
|
| 4560010
| 47
| | Red | Green | Blue
| | z | | 19.04
| | znorm | | 14.86
| | sky | 14.6 | 14.1 | 14.0
| | S/N | 14.2 | 23.4 | 24.5
| | S/N(c) | 12.6 | 22.0 | 23.7
| | SN(E/C) | 0.41
|
|
|
|
|
|
|
| 4560011
| 47
| | Red | Green | Blue
| | z | | 19.02
| | znorm | | 14.84
| | sky | 14.5 | 14.3 | 14.5
| | S/N | 13.4 | 23.2 | 24.4
| | S/N(c) | 11.9 | 21.7 | 22.9
| | SN(E/C) | 0.43
|
|
|
|
|
|
|
| 4560012
| 47
| | Red | Green | Blue
| | z | | 19.05
| | znorm | | 14.87
| | sky | 14.6 | 14.5 | 14.6
| | S/N | 13.4 | 23.3 | 24.7
| | S/N(c) | 12.0 | 21.8 | 23.0
| | SN(E/C) | 0.39
|
|
|
|
|
|
|
| 4560013
| 47
| | Red | Green | Blue
| | z | | 19.08
| | znorm | | 14.90
| | sky | 14.5 | 14.5 | 14.6
| | S/N | 13.8 | 23.8 | 25.3
| | S/N(c) | 12.3 | 22.3 | 23.7
| | SN(E/C) | 0.42
|
|
|
|
|
|
|
| 4560014
| 47
| | Red | Green | Blue
| | z | | 19.07
| | znorm | | 14.89
| | sky | 14.6 | 14.4 | 14.6
| | S/N | 13.8 | 23.7 | 25.3
| | S/N(c) | 12.2 | 22.3 | 23.7
| | SN(E/C) | 0.40
|
|
|
|
|
|
|
| 4560015
| 47
| | Red | Green | Blue
| | z | | 18.99
| | znorm | | 14.81
| | sky | 14.4 | 14.3 | 14.4
| | S/N | 13.7 | 23.0 | 24.6
| | S/N(c) | 12.1 | 21.0 | 23.0
| | SN(E/C) | 0.38
|
|
|
|
|
|
|
| 4560016
| 47
| | Red | Green | Blue
| | z | | 19.14
| | znorm | | 14.96
| | sky | 14.4 | 14.5 | 14.5
| | S/N | 15.2 | 24.9 | 26.6
| | S/N(c) | 13.4 | 23.1 | 25.1
| | SN(E/C) | 0.38
|
|
|
|
|
|
|
| 4560017
| 47
| | Red | Green | Blue
| | z | | 19.18
| | znorm | | 15.00
| | sky | 14.4 | 14.5 | 14.6
| | S/N | 15.2 | 25.2 | 27.5
| | S/N(c) | 13.7 | 23.5 | 26.0
| | SN(E/C) | 0.36
|
|
|
|
|
|
|