PLATE: 5566 MJD: 55903 FIELD: ANDR1

FrameCartsec zseeingNreadsDitherPixshiftZerosky continuumS/NS/N(c)
3410023 1 1.01 1.30 47 0.00 0.00 18.76 [14.98,14.27,13.99] [ 13.7, 21.5, 20.9] [ 11.7, 20.4, 21.6]
3410024 1 1.01 1.36 47 0.48 0.00 18.65 [14.60,14.33,14.22] [ 12.4, 20.7, 20.7] [ 10.9, 19.6, 20.7]
3410025 1 1.01 1.29 47 0.48 0.00 18.71 [14.89,14.37,14.21] [ 13.6, 21.9, 21.5] [ 11.8, 20.7, 21.5]
3410026 1 1.01 1.31 47 -0.01 0.00 18.55 [14.24,14.05,14.08] [ 11.8, 19.5, 19.4] [ 10.2, 18.4, 19.3]
3410027 1 1.01 1.42 47 -0.01 0.00 18.38 [13.89,13.71,13.76] [ 9.9, 16.6, 16.5] [ 8.6, 15.5, 16.4]
3410028 1 1.01 1.22 47 0.48 0.00 18.72 [14.66,14.46,14.26] [ 13.2, 22.1, 21.6] [ 11.8, 20.8, 21.7]
3410029 1 1.02 1.30 47 0.49 0.00 18.69 [14.75,14.53,14.29] [ 13.1, 21.9, 21.4] [ 11.3, 20.6, 21.4]
3410030 1 1.02 1.40 47 -0.01 0.00 18.53 [14.81,14.51,14.28] [ 12.0, 20.1, 19.6] [ 10.4, 19.0, 19.6]
3410037 1 1.05 1.40 47 -0.01 -0.00 18.59 [15.04,14.64,14.22] [ 13.2, 21.7, 20.7] [ 11.4, 20.6, 21.2]
3410038 1 1.06 1.24 47 0.48 -0.00 18.58 [14.86,14.68,14.54] [ 12.5, 21.3, 21.0] [ 11.0, 20.1, 21.3]
3410039 1 1.08 1.55 47 0.48 0.00 18.65 [15.02,14.76,14.56] [ 13.1, 22.5, 22.0] [ 11.6, 21.5, 22.0]
3410040 1 1.09 1.27 47 -0.01 -0.00 18.62 [15.04,14.70,14.55] [ 13.3, 22.2, 21.9] [ 11.4, 21.1, 22.0]
3410041 1 1.10 1.31 47 -0.00 -0.00 18.62 [14.82,14.87,14.59] [ 12.8, 22.1, 21.8] [ 11.5, 21.0, 21.6]
3410042 1 1.11 1.30 47 0.48 0.00 18.63 [15.02,14.74,14.59] [ 13.1, 22.3, 21.9] [ 11.6, 21.2, 22.0]
3410043 1 1.13 1.42 47 0.48 0.00 18.54 [15.29,14.85,14.58] [ 12.8, 21.5, 21.1] [ 11.1, 20.3, 21.1]
3410044 1 1.15 1.43 47 -0.01 -0.00 18.50 [14.86,14.86,14.71] [ 11.9, 20.8, 20.1] [ 10.6, 19.7, 20.2]

IPAIRNAMESHIFTNEWSHIFTS/N NAMESHIFTNEWSHIFTS/N
0 03410029 0.486 0.000 275.72 03410041 -0.005 0.491 269.08
1 03410028 0.479 0.007 282.04 03410023 0.000 0.486 283.66
2 03410025 0.483 0.003 279.48 03410040 -0.005 0.491 271.34
3 03410024 0.484 0.002 273.95 03410037 -0.007 0.493 266.48
4 03410039 0.480 0.006 272.25 03410026 -0.006 0.492 262.18
5 03410042 0.479 0.007 270.17 03410030 -0.005 0.491 255.40
6 03410038 0.480 0.006 264.20 03410044 -0.007 0.493 251.40
7 03410043 0.482 0.004 260.93 03410027 -0.007 0.492 239.52

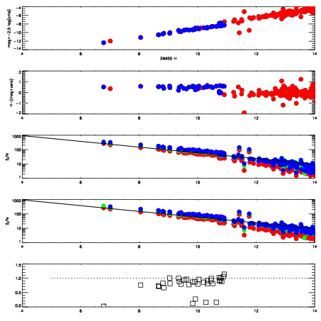
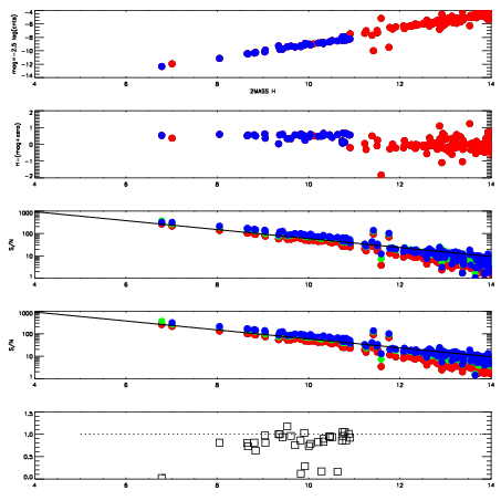
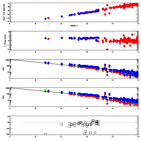
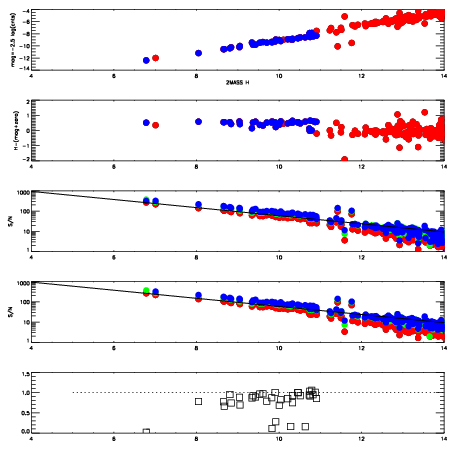
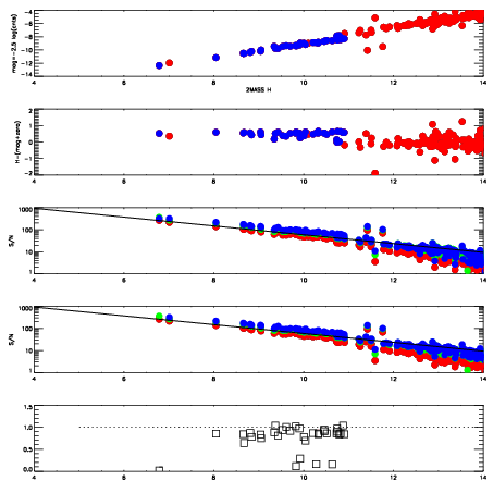
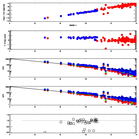
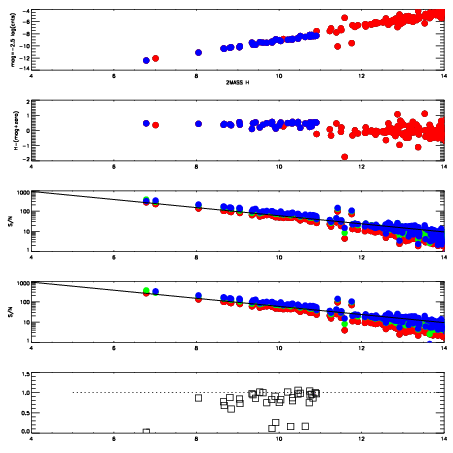
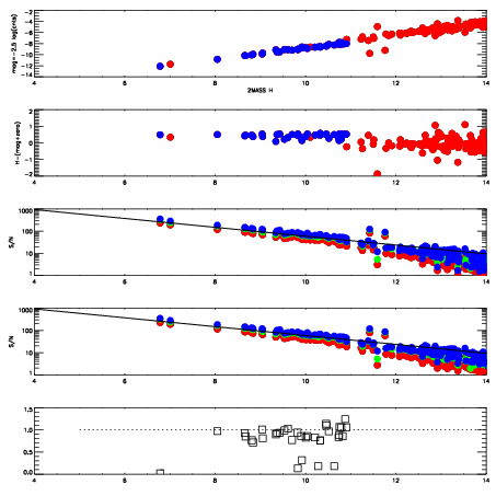
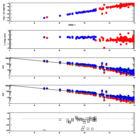
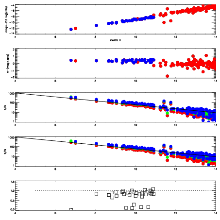
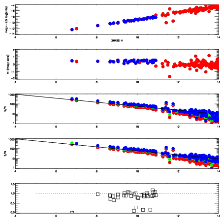
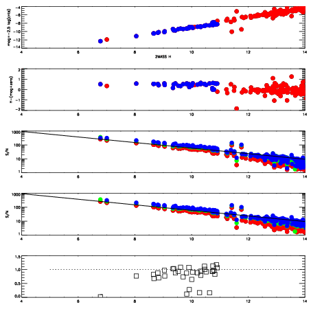
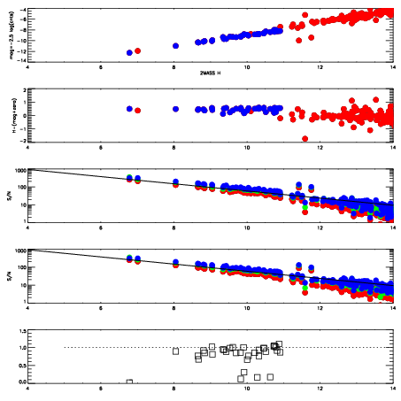
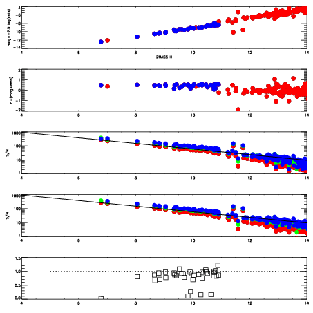
Visit (multiple exposure and dither combined) spectra

FrameZeropointsMag plots Spatial mag deviation Spatial sky 16325A emission deviations (filled: sky, open: star) Spatial sky continuum emission Spatial sky telluric CO2 absorption deviations (filled: H < 10)
3410023
RedGreenBlue
z18.76
znorm14.58
sky 15.0 14.3 14.0
S/N 13.7 21.5 20.9
S/N(c) 11.7 20.4 21.6
SN(E/C) 0.84
3410024
RedGreenBlue
z18.65
znorm14.47
sky 14.6 14.3 14.2
S/N 12.4 20.7 20.7
S/N(c) 10.9 19.6 20.7
SN(E/C) 0.89
3410025
RedGreenBlue
z18.71
znorm14.53
sky 14.9 14.4 14.2
S/N 13.6 21.9 21.5
S/N(c) 11.8 20.7 21.5
SN(E/C) 0.86
3410026
RedGreenBlue
z18.55
znorm14.37
sky 14.2 14.1 14.1
S/N 11.8 19.5 19.4
S/N(c) 10.2 18.4 19.3
SN(E/C) 0.88
3410027
RedGreenBlue
z18.38
znorm14.20
sky 13.9 13.7 13.8
S/N 9.9 16.6 16.5
S/N(c) 8.6 15.5 16.4
SN(E/C) 0.86
3410028
RedGreenBlue
z18.72
znorm14.54
sky 14.7 14.5 14.3
S/N 13.2 22.1 21.6
S/N(c) 11.8 20.8 21.7
SN(E/C) 0.86
3410029
RedGreenBlue
z18.69
znorm14.51
sky 14.8 14.5 14.3
S/N 13.1 21.9 21.4
S/N(c) 11.3 20.6 21.4
SN(E/C) 0.85
3410030
RedGreenBlue
z18.53
znorm14.35
sky 14.8 14.5 14.3
S/N 12.0 20.1 19.6
S/N(c) 10.4 19.0 19.6
SN(E/C) 0.87
3410037
RedGreenBlue
z18.59
znorm14.41
sky 15.0 14.6 14.2
S/N 13.2 21.7 20.7
S/N(c) 11.4 20.6 21.2
SN(E/C) 0.86
3410038
RedGreenBlue
z18.58
znorm14.40
sky 14.9 14.7 14.5
S/N 12.5 21.3 21.0
S/N(c) 11.0 20.1 21.3
SN(E/C) 0.88
3410039
RedGreenBlue
z18.65
znorm14.47
sky 15.0 14.8 14.6
S/N 13.1 22.5 22.0
S/N(c) 11.6 21.5 22.0
SN(E/C) 0.87
3410040
RedGreenBlue
z18.62
znorm14.44
sky 15.0 14.7 14.5
S/N 13.3 22.2 21.9
S/N(c) 11.4 21.1 22.0
SN(E/C) 0.88
3410041
RedGreenBlue
z18.62
znorm14.44
sky 14.8 14.9 14.6
S/N 12.8 22.1 21.8
S/N(c) 11.5 21.0 21.6
SN(E/C) 0.86
3410042
RedGreenBlue
z18.63
znorm14.45
sky 15.0 14.7 14.6
S/N 13.1 22.3 21.9
S/N(c) 11.6 21.2 22.0
SN(E/C) 0.87
3410043
RedGreenBlue
z18.54
znorm14.36
sky 15.3 14.9 14.6
S/N 12.8 21.5 21.1
S/N(c) 11.1 20.3 21.1
SN(E/C) 0.88
3410044
RedGreenBlue
z18.50
znorm14.32
sky 14.9 14.9 14.7
S/N 11.9 20.8 20.1
S/N(c) 10.6 19.7 20.2
SN(E/C) 0.89