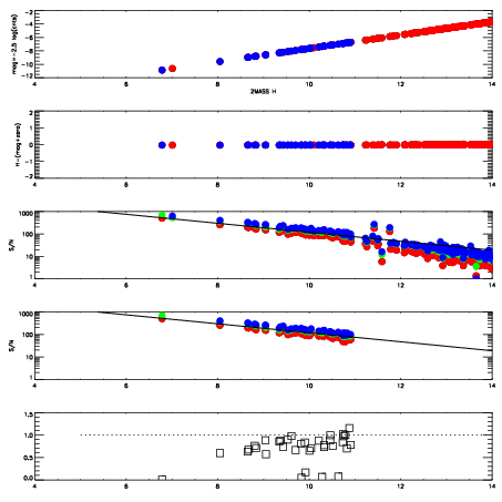
Left plots: red are targets, blue are telluric. Observed mags are calculated from median value of green chip. Zeropoint gives overall throughput: bigger number is more throughput.
First spatial plots: circles are objects, squares are tellurics, crosses are sky fibers. Colors give deviation of observed mag from expected 2MASS mag using the median zeropoint; red is brighter
Second spatial plots: circles are sky fibers. Colors give sky line brightness relative to plate median sky line brightness
FrameNreadsZeropointsMag plots Spatial mag deviation Spatial sky 16325A emission deviations (filled: sky, open: star) Spatial sky continuum emission Spatial sky telluric CO2 absorption deviations (filled: H < 10)
0 0
RedGreenBlue
z17.66
znorm Inf
sky -Inf -Inf -Inf
S/N 20.9 38.3 39.4
S/N(c) 0.0 0.0 0.0
SN(E/C) 0.76

IPAIRNAMESHIFTNEWSHIFTS/N NAMESHIFTNEWSHIFTS/N
0 03420016 0.478765 0.00000 243.107 03420017 0.00552127 0.473244 248.993
1 03420011 0.472335 0.00643000 291.607 03420013 0.00447999 0.474285 274.825
2 03420015 0.471694 0.00707102 275.537 03420014 0.00169154 0.477073 269.617
3 03420012 0.475891 0.00287402 263.012 03420010 0.00000 0.478765 269.126