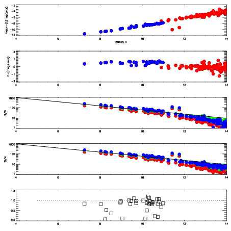
| Frame | Nreads | Zeropoints | Mag plots
| Spatial mag deviation
| Spatial sky 16325A emission deviations (filled: sky, open: star)
| Spatial sky continuum emission
| Spatial sky telluric CO2 absorption deviations (filled: H < 10)
|
| 3200010
| 47
| | Red | Green | Blue
| | z | | 18.28
| | znorm | | 14.10
| | sky | 14.8 | 14.6 | 14.3
| | S/N | 11.6 | 20.1 | 19.3
| | S/N(c) | 10.5 | 19.4 | 19.8
| | SN(E/C) | 0.86
|
|
|
|
|
|
|
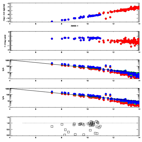
| 3200011
| 47
| | Red | Green | Blue
| | z | | 18.50
| | znorm | | 14.32
| | sky | 14.9 | 15.0 | 14.6
| | S/N | 12.8 | 22.1 | 22.1
| | S/N(c) | 11.8 | 21.3 | 22.2
| | SN(E/C) | 0.89
|
|
|
|
|
|
|
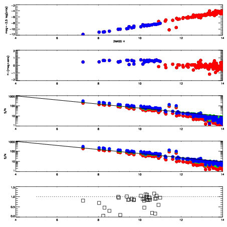
| 3200012
| 47
| | Red | Green | Blue
| | z | | 18.44
| | znorm | | 14.26
| | sky | 14.7 | 14.8 | 14.6
| | S/N | 12.3 | 21.3 | 21.2
| | S/N(c) | 11.1 | 20.4 | 21.4
| | SN(E/C) | 0.91
|
|
|
|
|
|
|
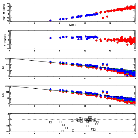
| 3200013
| 47
| | Red | Green | Blue
| | z | | 18.50
| | znorm | | 14.32
| | sky | 14.9 | 14.8 | 14.6
| | S/N | 13.0 | 22.3 | 22.4
| | S/N(c) | 11.9 | 21.6 | 22.5
| | SN(E/C) | 0.87
|
|
|
|
|
|
|
| 3200014
| 47
| | Red | Green | Blue
| | z | | 18.48
| | znorm | | 14.30
| | sky | 15.1 | 14.9 | 14.7
| | S/N | 12.8 | 21.8 | 21.9
| | S/N(c) | 11.8 | 20.9 | 21.9
| | SN(E/C) | 0.89
|
|
|
|
|
|
|
| 3200015
| 47
| | Red | Green | Blue
| | z | | 18.56
| | znorm | | 14.38
| | sky | 15.0 | 14.9 | 14.6
| | S/N | 13.3 | 22.9 | 23.0
| | S/N(c) | 12.1 | 22.0 | 23.0
| | SN(E/C) | 0.87
|
|
|
|
|
|
|
| 3200016
| 47
| | Red | Green | Blue
| | z | | 18.56
| | znorm | | 14.38
| | sky | 14.7 | 14.7 | 14.6
| | S/N | 13.4 | 22.7 | 23.0
| | S/N(c) | 12.1 | 21.9 | 23.0
| | SN(E/C) | 0.87
|
|
|
|
|
|
|
| 3200017
| 47
| | Red | Green | Blue
| | z | | 18.55
| | znorm | | 14.37
| | sky | 14.7 | 14.8 | 14.6
| | S/N | 13.3 | 22.8 | 23.1
| | S/N(c) | 12.2 | 21.9 | 23.0
| | SN(E/C) | 0.87
|
|
|
|
|
|
|