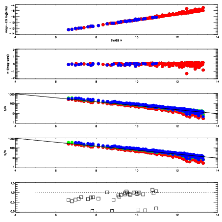
| Frame | Nreads | Zeropoints | Mag plots
| Spatial mag deviation
| Spatial sky 16325A emission deviations (filled: sky, open: star)
| Spatial sky continuum emission
| Spatial sky telluric CO2 absorption deviations (filled: H < 10)
|
| 3130040
| 47
| | Red | Green | Blue
| | z | | 19.10
| | znorm | | 14.92
| | sky | 15.2 | 14.8 | 14.0
| | S/N | 17.5 | 26.8 | 28.4
| | S/N(c) | 15.8 | 25.2 | 28.1
| | SN(E/C) | 0.86
|
|
|
|
|
|
|
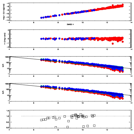
| 3130041
| 47
| | Red | Green | Blue
| | z | | 19.11
| | znorm | | 14.93
| | sky | 15.3 | 14.8 | 14.4
| | S/N | 17.3 | 26.8 | 29.0
| | S/N(c) | 15.7 | 25.3 | 28.2
| | SN(E/C) | 0.88
|
|
|
|
|
|
|
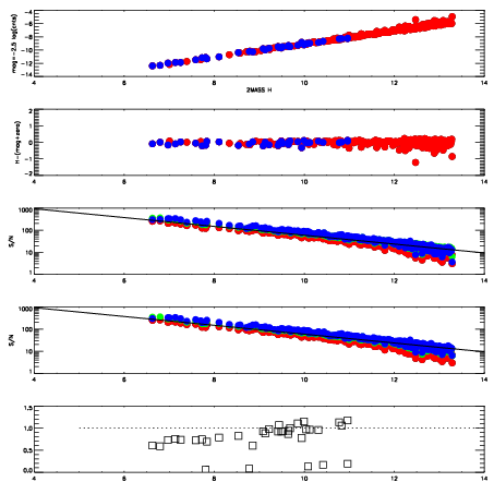
| 3130042
| 47
| | Red | Green | Blue
| | z | | 19.10
| | znorm | | 14.92
| | sky | 15.2 | 14.9 | 14.4
| | S/N | 16.9 | 26.8 | 28.7
| | S/N(c) | 15.4 | 25.2 | 28.0
| | SN(E/C) | 0.89
|
|
|
|
|
|
|
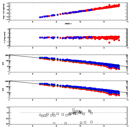
| 3130043
| 47
| | Red | Green | Blue
| | z | | 19.06
| | znorm | | 14.88
| | sky | 15.2 | 15.1 | 14.3
| | S/N | 16.8 | 26.5 | 28.1
| | S/N(c) | 15.1 | 24.8 | 27.4
| | SN(E/C) | 0.89
|
|
|
|
|
|
|
| 3130044
| 47
| | Red | Green | Blue
| | z | | 19.07
| | znorm | | 14.89
| | sky | 15.4 | 15.1 | 14.4
| | S/N | 17.3 | 26.6 | 28.3
| | S/N(c) | 15.0 | 24.8 | 27.5
| | SN(E/C) | 0.89
|
|
|
|
|
|
|
| 3130045
| 47
| | Red | Green | Blue
| | z | | 19.00
| | znorm | | 14.82
| | sky | 15.0 | 15.0 | 14.4
| | S/N | 16.4 | 25.6 | 27.2
| | S/N(c) | 14.5 | 23.8 | 26.5
| | SN(E/C) | 0.92
|
|
|
|
|
|
|
| 3130046
| 47
| | Red | Green | Blue
| | z | | 19.01
| | znorm | | 14.83
| | sky | 14.7 | 14.9 | 14.4
| | S/N | 17.0 | 26.0 | 27.7
| | S/N(c) | 14.8 | 24.2 | 27.0
| | SN(E/C) | 0.89
|
|
|
|
|
|
|
| 3130047
| 47
| | Red | Green | Blue
| | z | | 19.00
| | znorm | | 14.82
| | sky | 15.0 | 14.9 | 14.4
| | S/N | 17.1 | 25.8 | 27.6
| | S/N(c) | 14.9 | 24.2 | 26.9
| | SN(E/C) | 0.91
|
|
|
|
|
|
|