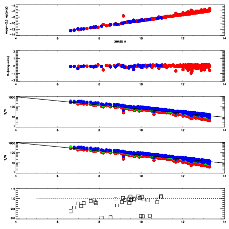
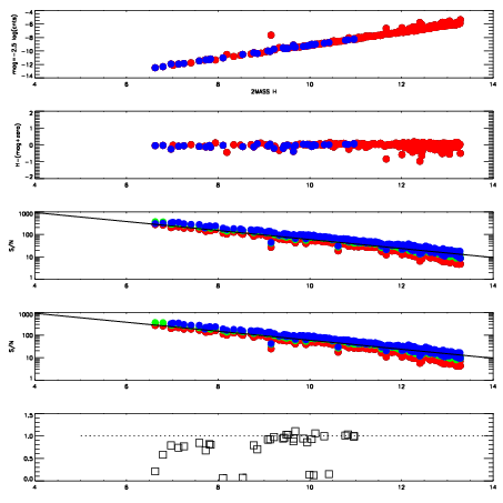
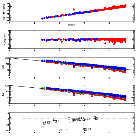
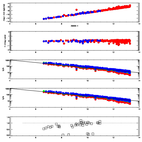
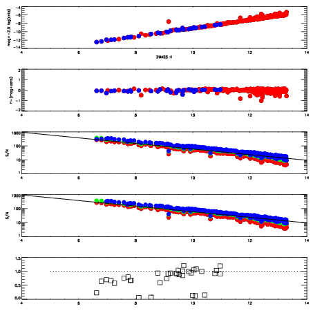
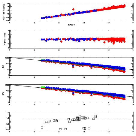
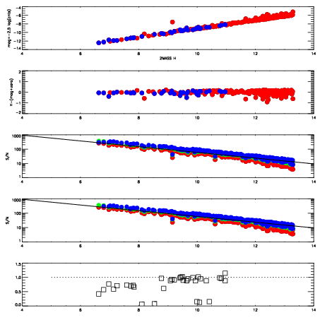
| Frame | Nreads | Zeropoints | Mag plots
| Spatial mag deviation
| Spatial sky 16325A emission deviations (filled: sky, open: star)
| Spatial sky continuum emission
| Spatial sky telluric CO2 absorption deviations (filled: H < 10)
|
| 3200058
| 47
| | Red | Green | Blue
| | z | | 19.15
| | znorm | | 14.97
| | sky | 15.0 | 14.6 | 14.5
| | S/N | 15.9 | 26.0 | 27.2
| | S/N(c) | 14.3 | 24.7 | 26.5
| | SN(E/C) | 0.87
|
|
|
|
|
|
|
| 3200059
| 47
| | Red | Green | Blue
| | z | | 19.18
| | znorm | | 15.00
| | sky | 14.9 | 14.8 | 14.9
| | S/N | 16.2 | 26.4 | 28.3
| | S/N(c) | 14.6 | 24.6 | 27.0
| | SN(E/C) | 0.92
|
|
|
|
|
|
|
| 3200060
| 47
| | Red | Green | Blue
| | z | | 19.16
| | znorm | | 14.98
| | sky | 15.5 | 14.8 | 14.9
| | S/N | 16.2 | 26.2 | 28.2
| | S/N(c) | 14.4 | 24.2 | 26.8
| | SN(E/C) | 0.88
|
|
|
|
|
|
|
| 3200061
| 47
| | Red | Green | Blue
| | z | | 19.17
| | znorm | | 14.99
| | sky | 14.9 | 14.8 | 14.9
| | S/N | 16.3 | 26.1 | 28.3
| | S/N(c) | 14.4 | 24.2 | 27.0
| | SN(E/C) | 0.88
|
|
|
|
|
|
|
| 3200062
| 47
| | Red | Green | Blue
| | z | | 19.15
| | znorm | | 14.97
| | sky | 15.1 | 14.8 | 15.0
| | S/N | 16.2 | 25.8 | 28.4
| | S/N(c) | 14.3 | 23.7 | 27.1
| | SN(E/C) | 0.85
|
|
|
|
|
|
|
| 3200063
| 47
| | Red | Green | Blue
| | z | | 19.12
| | znorm | | 14.94
| | sky | 14.8 | 14.8 | 14.9
| | S/N | 15.8 | 25.5 | 28.0
| | S/N(c) | 13.9 | 23.5 | 26.3
| | SN(E/C) | 0.90
|
|
|
|
|
|
|
| 3200064
| 47
| | Red | Green | Blue
| | z | | 19.11
| | znorm | | 14.93
| | sky | 15.0 | 14.8 | 15.0
| | S/N | 15.8 | 25.5 | 27.9
| | S/N(c) | 13.7 | 23.4 | 26.0
| | SN(E/C) | 0.88
|
|
|
|
|
|
|
| 3200065
| 47
| | Red | Green | Blue
| | z | | 19.09
| | znorm | | 14.91
| | sky | 14.9 | 14.7 | 15.0
| | S/N | 14.5 | 24.8 | 26.2
| | S/N(c) | 12.8 | 22.9 | 23.9
| | SN(E/C) | 0.85
|
|
|
|
|
|
|