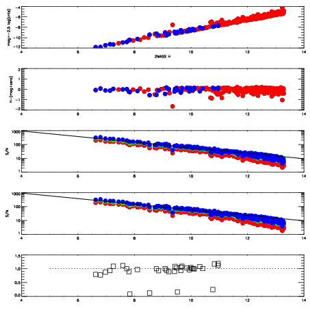
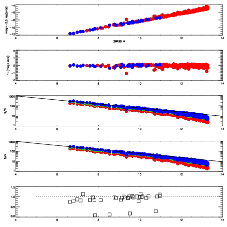
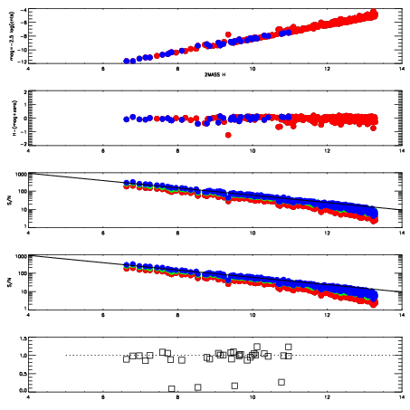
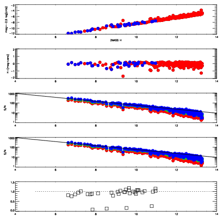
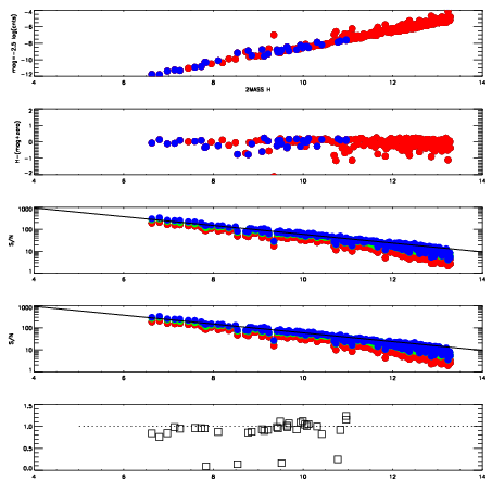
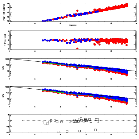
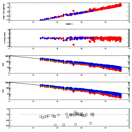
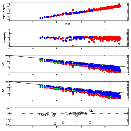
| Frame | Nreads | Zeropoints | Mag plots
| Spatial mag deviation
| Spatial sky 16325A emission deviations (filled: sky, open: star)
| Spatial sky continuum emission
| Spatial sky telluric CO2 absorption deviations (filled: H < 10)
|
| 3100076
| 47
| | Red | Green | Blue
| | z | | 18.38
| | znorm | | 14.20
| | sky | 14.9 | 14.5 | 14.3
| | S/N | 11.7 | 18.3 | 18.3
| | S/N(c) | 10.2 | 16.9 | 16.7
| | SN(E/C) | 0.95
|
|
|
|
|
|
|
| 3100077
| 47
| | Red | Green | Blue
| | z | | 18.46
| | znorm | | 14.28
| | sky | 14.8 | 14.6 | 14.6
| | S/N | 12.3 | 19.3 | 19.8
| | S/N(c) | 10.5 | 17.9 | 18.0
| | SN(E/C) | 0.95
|
|
|
|
|
|
|
| 3100078
| 47
| | Red | Green | Blue
| | z | | 17.35
| | znorm | | 13.17
| | sky | 14.4 | 14.3 | 14.5
| | S/N | 4.8 | 9.1 | 9.0
| | S/N(c) | 4.2 | 8.4 | 8.2
| | SN(E/C) | 0.99
|
|
|
|
|
|
|
| 3100079
| 47
| | Red | Green | Blue
| | z | | 18.55
| | znorm | | 14.37
| | sky | 14.8 | 14.7 | 14.7
| | S/N | 12.4 | 19.9 | 20.4
| | S/N(c) | 10.7 | 18.4 | 18.8
| | SN(E/C) | 0.93
|
|
|
|
|
|
|
| 3100080
| 47
| | Red | Green | Blue
| | z | | 18.53
| | znorm | | 14.35
| | sky | 14.8 | 14.7 | 14.9
| | S/N | 12.4 | 20.0 | 20.2
| | S/N(c) | 10.8 | 18.0 | 18.6
| | SN(E/C) | 0.99
|
|
|
|
|
|
|
| 3100081
| 47
| | Red | Green | Blue
| | z | | 18.36
| | znorm | | 14.18
| | sky | 15.0 | 14.8 | 14.9
| | S/N | 11.0 | 17.8 | 17.9
| | S/N(c) | 9.4 | 16.1 | 16.2
| | SN(E/C) | 0.99
|
|
|
|
|
|
|
| 3100082
| 47
| | Red | Green | Blue
| | z | | 18.29
| | znorm | | 14.11
| | sky | 15.2 | 15.0 | 15.1
| | S/N | 10.2 | 17.3 | 17.3
| | S/N(c) | 8.7 | 15.5 | 15.5
| | SN(E/C) | 0.95
|
|
|
|
|
|
|
| 3100083
| 47
| | Red | Green | Blue
| | z | | 18.50
| | znorm | | 14.32
| | sky | 14.6 | 14.8 | 14.6
| | S/N | 11.7 | 19.1 | 20.0
| | S/N(c) | 10.3 | 17.3 | 18.2
| | SN(E/C) | 0.93
|
|
|
|
|
|
|