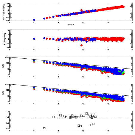
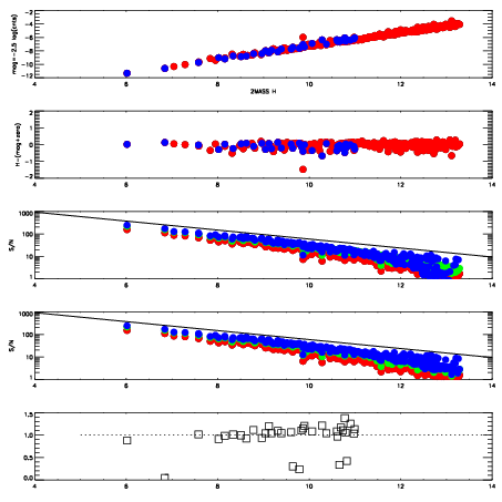
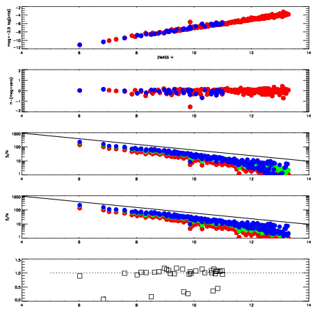
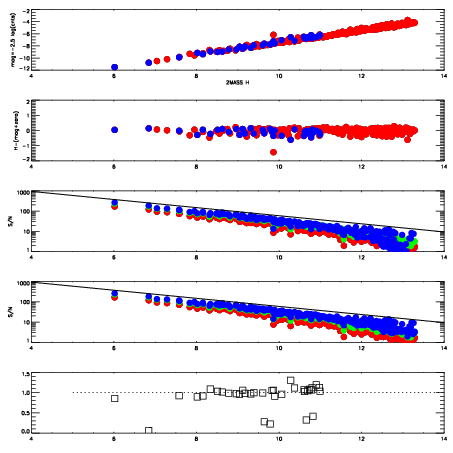
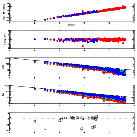
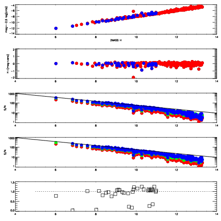
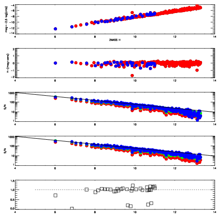
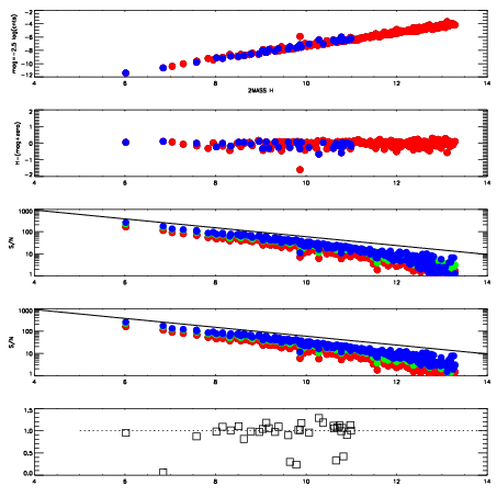
| Frame | Nreads | Zeropoints | Mag plots
| Spatial mag deviation
| Spatial sky 16325A emission deviations (filled: sky, open: star)
| Spatial sky continuum emission
| Spatial sky telluric CO2 absorption deviations (filled: H < 10)
|
| 3140084
| 47
| | Red | Green | Blue
| | z | | 18.28
| | znorm | | 14.10
| | sky | 13.9 | 13.7 | 13.4
| | S/N | 9.3 | 15.5 | 16.8
| | S/N(c) | 8.3 | 14.3 | 17.6
| | SN(E/C) | 1.01
|
|
|
|
|
|
|
| 3140085
| 47
| | Red | Green | Blue
| | z | | 17.82
| | znorm | | 13.64
| | sky | 13.5 | 13.4 | 13.3
| | S/N | 6.1 | 10.8 | 13.2
| | S/N(c) | 5.3 | 9.8 | 14.2
| | SN(E/C) | 1.02
|
|
|
|
|
|
|
| 3140086
| 47
| | Red | Green | Blue
| | z | | 17.46
| | znorm | | 13.28
| | sky | 13.4 | 13.3 | 13.2
| | S/N | 4.4 | 7.9 | 10.6
| | S/N(c) | 3.8 | 7.2 | 11.5
| | SN(E/C) | 0.99
|
|
|
|
|
|
|
| 3140087
| 47
| | Red | Green | Blue
| | z | | 17.32
| | znorm | | 13.14
| | sky | 13.3 | 13.2 | 13.2
| | S/N | 3.8 | 6.8 | 10.0
| | S/N(c) | 3.5 | 6.2 | 10.7
| | SN(E/C) | 1.04
|
|
|
|
|
|
|
| 3140088
| 47
| | Red | Green | Blue
| | z | | 17.36
| | znorm | | 13.18
| | sky | 13.4 | 13.3 | 13.3
| | S/N | 4.1 | 7.2 | 9.8
| | S/N(c) | 3.5 | 6.4 | 10.8
| | SN(E/C) | 1.01
|
|
|
|
|
|
|
| 3140089
| 47
| | Red | Green | Blue
| | z | | 17.06
| | znorm | | 12.88
| | sky | 13.2 | 13.1 | 13.1
| | S/N | 3.0 | 5.2 | 8.4
| | S/N(c) | 2.6 | 4.7 | 9.3
| | SN(E/C) | 1.02
|
|
|
|
|
|
|
| 3140090
| 47
| | Red | Green | Blue
| | z | | 17.37
| | znorm | | 13.18
| | sky | 13.3 | 13.2 | 13.2
| | S/N | 4.0 | 7.2 | 9.7
| | S/N(c) | 3.6 | 6.6 | 10.3
| | SN(E/C) | 1.01
|
|
|
|
|
|
|
| 3140091
| 47
| | Red | Green | Blue
| | z | | 18.00
| | znorm | | 13.82
| | sky | 13.5 | 13.5 | 13.5
| | S/N | 7.2 | 12.5 | 14.0
| | S/N(c) | 6.4 | 11.4 | 14.5
| | SN(E/C) | 1.02
|
|
|
|
|
|
|