PLATE: 5572 MJD: 55912 FIELD: 210+08

FrameCartsec zseeingNreadsDitherPixshiftZerosky continuumS/NS/N(c)
3500040 6 1.48 1.48 47 0.00 0.00 16.59 [14.12,14.02,13.93] [ 2.6, 5.1, 7.1] [ 2.2, 4.2, 6.8]
3500041 6 1.52 1.54 47 0.51 -0.00 17.02 [14.16,14.04,14.11] [ 3.6, 6.7, 8.6] [ 2.9, 5.7, 8.0]
3500042 6 1.58 2.71 47 0.52 -0.00 16.54 [13.99,13.90,13.99] [ 2.4, 4.7, 6.4] [ 2.0, 3.9, 6.1]
3500043 6 1.63 NaN 47 0.02 0.00 15.37 [13.91,13.84,14.09] [ 1.0, 1.9, 4.0] [ 0.8, 1.3, 4.0]
3500044 6 1.70 NaN 47 13.94 [13.90,14.05,14.24] [ 0.2, 0.7, 2.6] [ 0.0, 0.0, 0.0]
3500045 6 1.77 NaN 47 0.51 -0.00 15.80 [14.01,13.88,14.03] [ 1.6, 3.2, 4.9] [ 1.3, 2.4, 4.6]
3500046 6 1.85 2.27 47 15.13 [13.79,13.81,13.94] [ 0.9, 1.9, 3.7] [ 0.0, 0.0, 0.0]
3500047 6 1.94 NaN 47 14.22 [13.80,13.82,13.99] [ 0.4, 0.9, 2.6] [ 0.0, 0.0, 0.0]
3500048 6 2.06 3.41 47 0.03 -0.00 15.50 [13.98,13.89,13.95] [ 0.9, 2.3, 3.8] [ 0.8, 1.7, 3.7]
3500049 6 2.17 3.42 47 0.52 0.00 14.53 [13.77,13.76,13.86] [ 0.4, 0.9, 2.1] [ 0.5, 0.6, 2.2]
3500050 6 2.31 NaN 47 13.66 [13.79,13.87,14.06] [ 0.2, 0.6, 2.2] [ 0.0, 0.0, 0.0]
3500051 6 2.47 NaN 47 13.85 [13.98,14.14,14.41] [ 0.5, 0.9, 2.4] [ 0.0, 0.0, 0.0]

IPAIRNAMESHIFTNEWSHIFTS/N NAMESHIFTNEWSHIFTS/N
0 03500042 0.524 0.000 88.00 03500048 0.027 0.497 39.01
1 03500041 0.513 0.011 116.43 03500040 0.000 0.524 94.11
2 03500045 0.514 0.010 51.69 03500043 0.023 0.501 36.13

Visit (multiple exposure and dither combined) spectra

FrameZeropointsMag plots Spatial mag deviation Spatial sky 16325A emission deviations (filled: sky, open: star) Spatial sky continuum emission Spatial sky telluric CO2 absorption deviations (filled: H < 10)
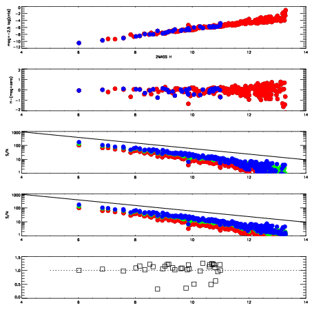
3500040
RedGreenBlue
z16.59
znorm12.41
sky 14.1 14.0 13.9
S/N 2.6 5.1 7.1
S/N(c) 2.2 4.2 6.8
SN(E/C) 1.09
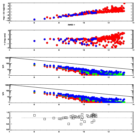
3500041
RedGreenBlue
z17.02
znorm12.84
sky 14.2 14.0 14.1
S/N 3.6 6.7 8.6
S/N(c) 2.9 5.7 8.0
SN(E/C) 1.01
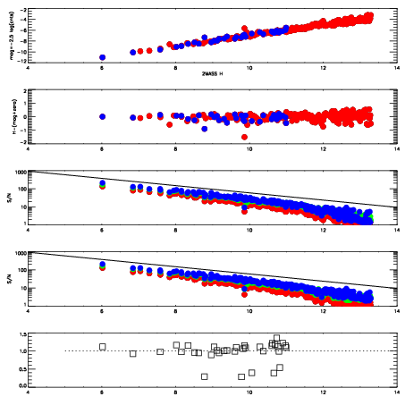
3500042
RedGreenBlue
z16.54
znorm12.36
sky 14.0 13.9 14.0
S/N 2.4 4.7 6.4
S/N(c) 2.0 3.9 6.1
SN(E/C) 1.08
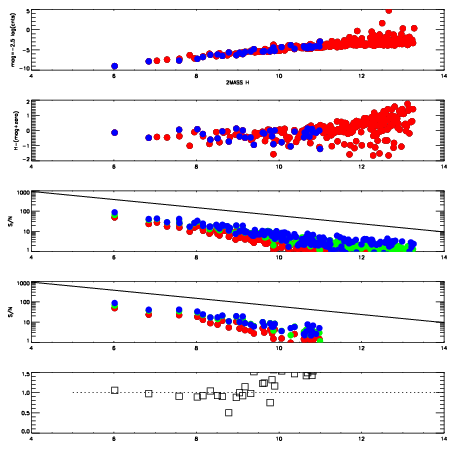
3500043
RedGreenBlue
z15.37
znorm11.19
sky 13.9 13.8 14.1
S/N 1.0 1.9 4.0
S/N(c) 0.8 1.3 4.0
SN(E/C) 1.06
3500044
RedGreenBlue
z13.94
znorm 9.76
sky 13.9 14.0 14.2
S/N 0.2 0.7 2.6
S/N(c) 0.0 0.0 0.0
SN(E/C) 3.27
3500045
RedGreenBlue
z15.80
znorm11.62
sky 14.0 13.9 14.0
S/N 1.6 3.2 4.9
S/N(c) 1.3 2.4 4.6
SN(E/C) 1.07
3500046
RedGreenBlue
z15.13
znorm10.95
sky 13.8 13.8 13.9
S/N 0.9 1.9 3.7
S/N(c) 0.0 0.0 0.0
SN(E/C) 1.24
3500047
RedGreenBlue
z14.22
znorm10.04
sky 13.8 13.8 14.0
S/N 0.4 0.9 2.6
S/N(c) 0.0 0.0 0.0
SN(E/C) 1.68
3500048
RedGreenBlue
z15.50
znorm11.32
sky 14.0 13.9 14.0
S/N 0.9 2.3 3.8
S/N(c) 0.8 1.7 3.7
SN(E/C) 1.04
3500049
RedGreenBlue
z14.53
znorm10.35
sky 13.8 13.8 13.9
S/N 0.4 0.9 2.1
S/N(c) 0.5 0.6 2.2
SN(E/C) 1.03
3500050
RedGreenBlue
z13.66
znorm 9.48
sky 13.8 13.9 14.1
S/N 0.2 0.6 2.2
S/N(c) 0.0 0.0 0.0
SN(E/C) 3.96
3500051
RedGreenBlue
z13.85
znorm 9.67
sky 14.0 14.1 14.4
S/N 0.5 0.9 2.4
S/N(c) 0.0 0.0 0.0
SN(E/C) 3.86