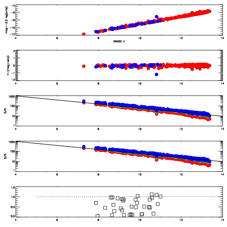
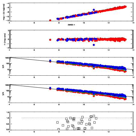
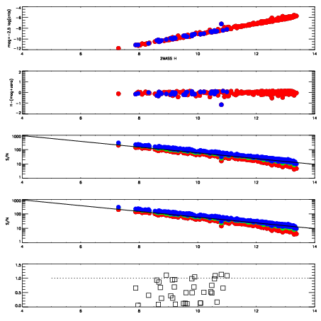
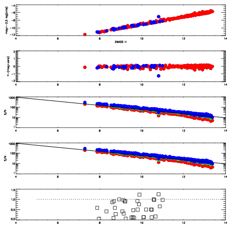
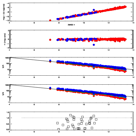
| Frame | Nreads | Zeropoints | Mag plots
| Spatial mag deviation
| Spatial sky 16325A emission deviations (filled: sky, open: star)
| Spatial sky continuum emission
| Spatial sky telluric CO2 absorption deviations (filled: H < 10)
|
| 3700082
| 47
| | Red | Green | Blue
| | z | | 19.05
| | znorm | | 14.87
| | sky | 15.1 | 14.7 | 14.7
| | S/N | 15.7 | 25.3 | 26.9
| | S/N(c) | 13.7 | 23.5 | 25.2
| | SN(E/C) | 0.57
|
|
|
|
|
|
|
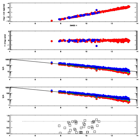
| 3700083
| 47
| | Red | Green | Blue
| | z | | 19.11
| | znorm | | 14.93
| | sky | 15.0 | 14.6 | 14.8
| | S/N | 16.4 | 26.2 | 28.4
| | S/N(c) | 14.6 | 24.4 | 26.4
| | SN(E/C) | 0.57
|
|
|
|
|
|
|
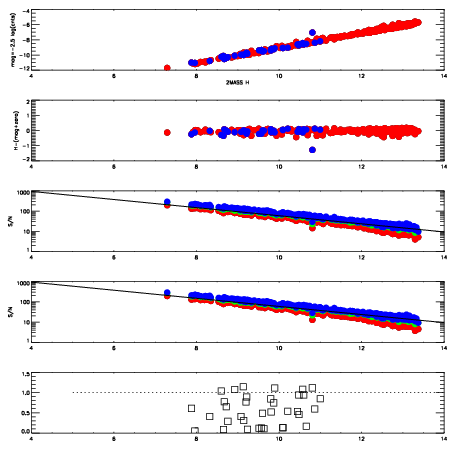
| 3700084
| 47
| | Red | Green | Blue
| | z | | 19.13
| | znorm | | 14.95
| | sky | 14.8 | 14.7 | 14.8
| | S/N | 16.1 | 26.4 | 28.3
| | S/N(c) | 14.4 | 24.5 | 26.5
| | SN(E/C) | 0.54
|
|
|
|
|
|
|
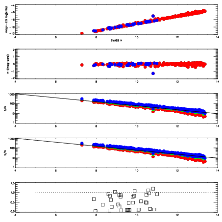
| 3700085
| 47
| | Red | Green | Blue
| | z | | 19.14
| | znorm | | 14.96
| | sky | 14.9 | 14.6 | 14.9
| | S/N | 16.5 | 26.7 | 28.6
| | S/N(c) | 14.7 | 24.8 | 26.7
| | SN(E/C) | 0.49
|
|
|
|
|
|
|
| 3700086
| 47
| | Red | Green | Blue
| | z | | 19.14
| | znorm | | 14.96
| | sky | 14.8 | 14.7 | 14.7
| | S/N | 16.3 | 26.7 | 28.5
| | S/N(c) | 14.6 | 24.8 | 26.7
| | SN(E/C) | 0.50
|
|
|
|
|
|
|
| 3700087
| 47
| | Red | Green | Blue
| | z | | 19.13
| | znorm | | 14.95
| | sky | 14.9 | 14.9 | 15.0
| | S/N | 16.3 | 27.0 | 28.2
| | S/N(c) | 14.6 | 24.9 | 26.6
| | SN(E/C) | 0.56
|
|
|
|
|
|
|
| 3700088
| 47
| | Red | Green | Blue
| | z | | 19.12
| | znorm | | 14.94
| | sky | 14.9 | 14.7 | 14.8
| | S/N | 16.2 | 26.6 | 28.6
| | S/N(c) | 14.4 | 24.6 | 26.8
| | SN(E/C) | 0.52
|
|
|
|
|
|
|
| 3700089
| 47
| | Red | Green | Blue
| | z | | 19.14
| | znorm | | 14.96
| | sky | 14.8 | 14.8 | 14.8
| | S/N | 16.6 | 27.1 | 28.7
| | S/N(c) | 14.9 | 25.0 | 26.9
| | SN(E/C) | 0.52
|
|
|
|
|
|
|