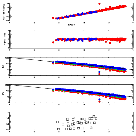
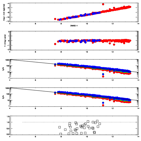
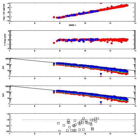
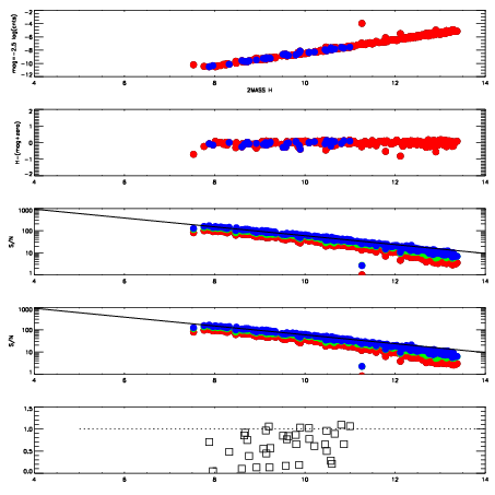
| Frame | Nreads | Zeropoints | Mag plots
| Spatial mag deviation
| Spatial sky 16325A emission deviations (filled: sky, open: star)
| Spatial sky continuum emission
| Spatial sky telluric CO2 absorption deviations (filled: H < 10)
|
| 4600025
| 47
| | Red | Green | Blue
| | z | | 18.93
| | znorm | | 14.74
| | sky | 14.0 | 13.8 | 13.8
| | S/N | 14.5 | 22.5 | 24.6
| | S/N(c) | 12.7 | 20.6 | 23.8
| | SN(E/C) | 0.58
|
|
|
|
|
|
|
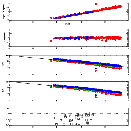
| 4600026
| 47
| | Red | Green | Blue
| | z | | 19.07
| | znorm | | 14.89
| | sky | 14.4 | 14.2 | 14.3
| | S/N | 16.0 | 24.7 | 27.2
| | S/N(c) | 14.2 | 22.6 | 25.9
| | SN(E/C) | 0.56
|
|
|
|
|
|
|
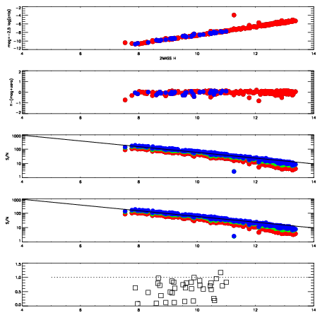
| 4600027
| 47
| | Red | Green | Blue
| | z | | 19.03
| | znorm | | 14.85
| | sky | 14.2 | 14.1 | 14.3
| | S/N | 15.3 | 23.9 | 26.6
| | S/N(c) | 13.6 | 21.9 | 25.3
| | SN(E/C) | 0.60
|
|
|
|
|
|
|
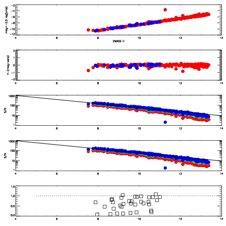
| 4600028
| 47
| | Red | Green | Blue
| | z | | 18.83
| | znorm | | 14.65
| | sky | 14.0 | 13.9 | 14.0
| | S/N | 13.1 | 21.0 | 23.9
| | S/N(c) | 11.6 | 19.2 | 22.6
| | SN(E/C) | 0.61
|
|
|
|
|
|
|
| 4600029
| 47
| | Red | Green | Blue
| | z | | 18.44
| | znorm | | 14.26
| | sky | 13.7 | 13.5 | 13.7
| | S/N | 9.6 | 15.8 | 19.3
| | S/N(c) | 8.3 | 14.2 | 17.5
| | SN(E/C) | 0.65
|
|
|
|
|
|
|
| 4600030
| 47
| | Red | Green | Blue
| | z | | 18.40
| | znorm | | 14.22
| | sky | 13.6 | 13.6 | 13.7
| | S/N | 9.0 | 15.6 | 19.0
| | S/N(c) | 8.0 | 14.1 | 17.5
| | SN(E/C) | 0.71
|
|
|
|
|
|
|
| 4600031
| 47
| | Red | Green | Blue
| | z | | 18.65
| | znorm | | 14.47
| | sky | 13.7 | 13.7 | 13.9
| | S/N | 11.5 | 18.4 | 21.7
| | S/N(c) | 10.1 | 16.8 | 20.3
| | SN(E/C) | 0.63
|
|
|
|
|
|
|
| 4600032
| 47
| | Red | Green | Blue
| | z | | 18.55
| | znorm | | 14.37
| | sky | 13.7 | 13.6 | 13.8
| | S/N | 10.6 | 17.2 | 20.5
| | S/N(c) | 9.5 | 15.5 | 19.2
| | SN(E/C) | 0.68
|
|
|
|
|
|
|