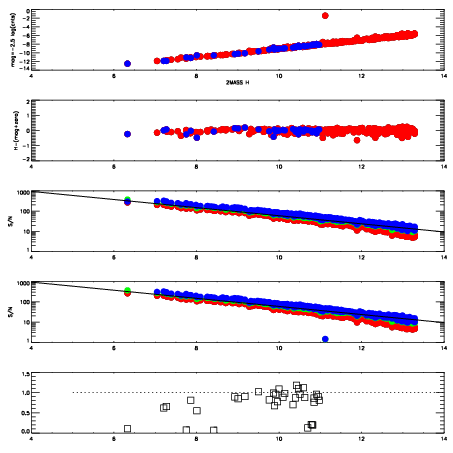
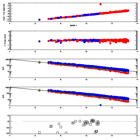
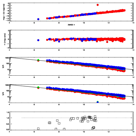
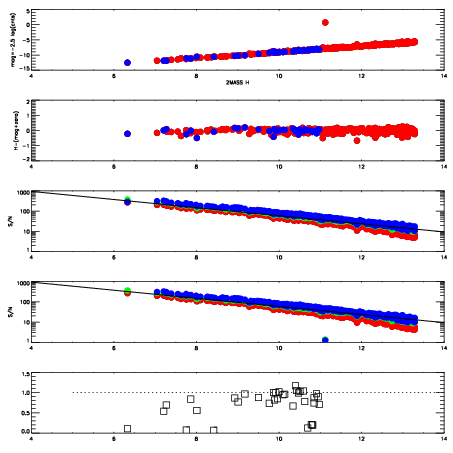
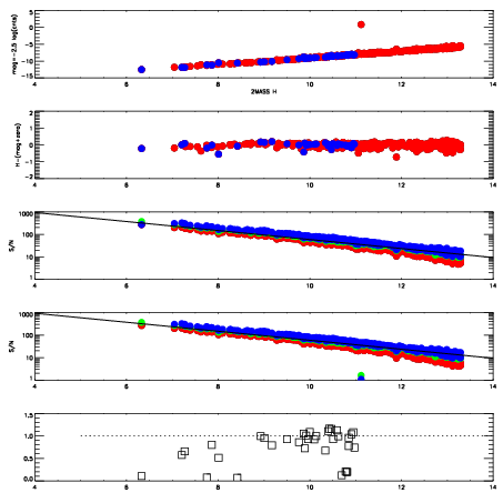
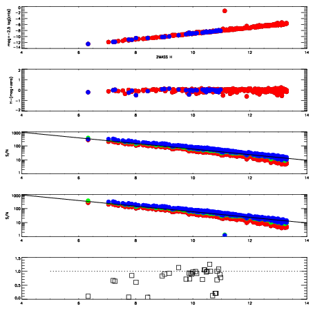
| Frame | Nreads | Zeropoints | Mag plots
| Spatial mag deviation
| Spatial sky 16325A emission deviations (filled: sky, open: star)
| Spatial sky continuum emission
| Spatial sky telluric CO2 absorption deviations (filled: H < 10)
|
| 3100098
| 47
| | Red | Green | Blue
| | z | | 19.06
| | znorm | | 14.88
| | sky | 15.1 | 14.6 | 14.6
| | S/N | 16.8 | 27.9 | 30.2
| | S/N(c) | 14.7 | 25.9 | 27.6
| | SN(E/C) | 0.92
|
|
|
|
|
|
|
| 3100099
| 47
| | Red | Green | Blue
| | z | | 19.07
| | znorm | | 14.89
| | sky | 14.8 | 14.6 | 14.9
| | S/N | 16.8 | 27.8 | 30.0
| | S/N(c) | 14.7 | 25.6 | 27.4
| | SN(E/C) | 0.84
|
|
|
|
|
|
|
| 3100100
| 47
| | Red | Green | Blue
| | z | | 19.06
| | znorm | | 14.88
| | sky | 14.8 | 14.6 | 14.8
| | S/N | 16.1 | 27.4 | 29.5
| | S/N(c) | 14.0 | 25.2 | 26.9
| | SN(E/C) | 0.85
|
|
|
|
|
|
|
| 3100101
| 47
| | Red | Green | Blue
| | z | | 19.10
| | znorm | | 14.92
| | sky | 14.7 | 14.6 | 14.7
| | S/N | 16.8 | 28.5 | 30.7
| | S/N(c) | 14.5 | 26.1 | 28.1
| | SN(E/C) | 0.84
|
|
|
|
|
|
|
| 3100102
| 47
| | Red | Green | Blue
| | z | | 19.11
| | znorm | | 14.93
| | sky | 14.7 | 14.6 | 14.7
| | S/N | 17.1 | 28.6 | 30.8
| | S/N(c) | 14.9 | 26.4 | 28.4
| | SN(E/C) | 0.83
|
|
|
|
|
|
|
| 3100103
| 47
| | Red | Green | Blue
| | z | | 19.01
| | znorm | | 14.83
| | sky | 14.8 | 14.7 | 14.7
| | S/N | 15.8 | 27.1 | 29.1
| | S/N(c) | 13.8 | 25.0 | 26.9
| | SN(E/C) | 0.88
|
|
|
|
|
|
|