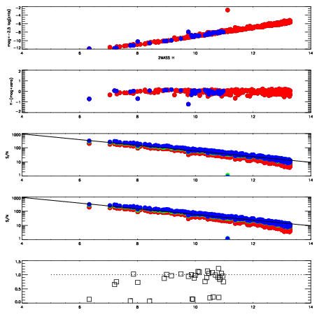
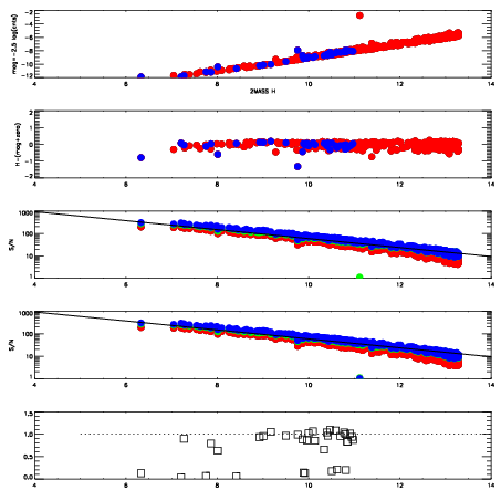
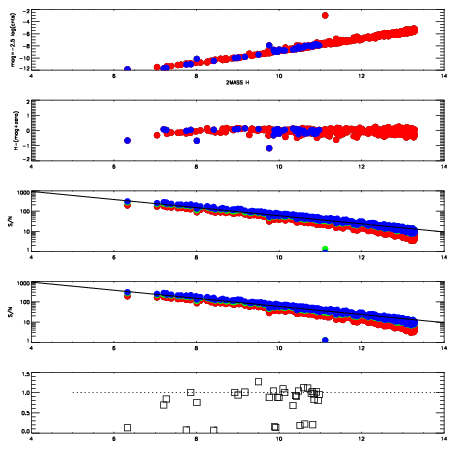
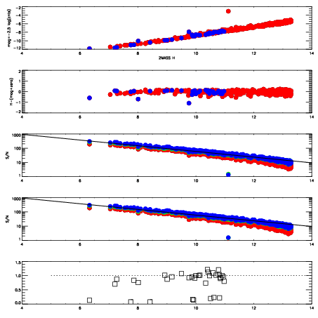
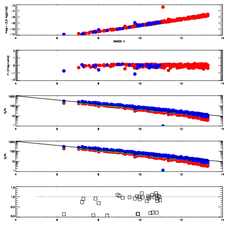
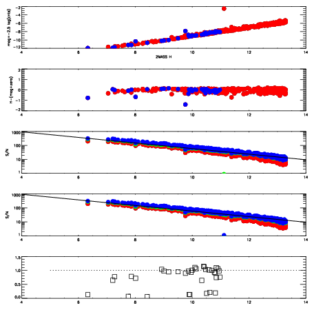
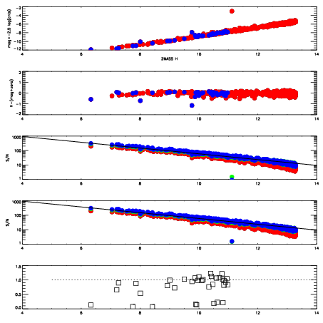
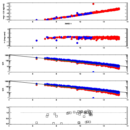
| Frame | Nreads | Zeropoints | Mag plots
| Spatial mag deviation
| Spatial sky 16325A emission deviations (filled: sky, open: star)
| Spatial sky continuum emission
| Spatial sky telluric CO2 absorption deviations (filled: H < 10)
|
| 3490010
| 47
| | Red | Green | Blue
| | z | | 18.81
| | znorm | | 14.63
| | sky | 14.9 | 14.6 | 14.5
| | S/N | 14.0 | 24.3 | 25.1
| | S/N(c) | 12.1 | 21.9 | 23.2
| | SN(E/C) | 0.90
|
|
|
|
|
|
|
| 3490011
| 47
| | Red | Green | Blue
| | z | | 18.77
| | znorm | | 14.59
| | sky | 15.3 | 15.1 | 15.1
| | S/N | 13.6 | 23.5 | 24.6
| | S/N(c) | 11.7 | 21.0 | 22.6
| | SN(E/C) | 0.92
|
|
|
|
|
|
|
| 3490012
| 47
| | Red | Green | Blue
| | z | | 18.84
| | znorm | | 14.66
| | sky | 14.9 | 15.0 | 15.1
| | S/N | 13.2 | 23.6 | 24.8
| | S/N(c) | 11.5 | 21.3 | 22.9
| | SN(E/C) | 0.91
|
|
|
|
|
|
|
| 3490013
| 47
| | Red | Green | Blue
| | z | | 18.94
| | znorm | | 14.76
| | sky | 15.1 | 14.9 | 15.1
| | S/N | 14.3 | 24.4 | 25.6
| | S/N(c) | 12.3 | 21.9 | 23.5
| | SN(E/C) | 0.90
|
|
|
|
|
|
|
| 3490014
| 47
| | Red | Green | Blue
| | z | | 18.96
| | znorm | | 14.78
| | sky | 14.8 | 14.9 | 15.1
| | S/N | 14.1 | 24.4 | 25.8
| | S/N(c) | 12.2 | 22.0 | 23.8
| | SN(E/C) | 0.92
|
|
|
|
|
|
|
| 3490015
| 47
| | Red | Green | Blue
| | z | | 19.02
| | znorm | | 14.84
| | sky | 14.9 | 14.9 | 15.0
| | S/N | 14.1 | 24.9 | 26.1
| | S/N(c) | 12.2 | 22.4 | 24.0
| | SN(E/C) | 0.93
|
|
|
|
|
|
|
| 3490016
| 47
| | Red | Green | Blue
| | z | | 19.01
| | znorm | | 14.83
| | sky | 15.1 | 14.9 | 15.0
| | S/N | 13.9 | 24.1 | 25.3
| | S/N(c) | 11.9 | 21.8 | 23.3
| | SN(E/C) | 0.88
|
|
|
|
|
|
|
| 3490017
| 47
| | Red | Green | Blue
| | z | | 18.81
| | znorm | | 14.63
| | sky | 14.9 | 15.0 | 15.0
| | S/N | 12.2 | 22.0 | 22.7
| | S/N(c) | 10.4 | 19.7 | 20.8
| | SN(E/C) | 0.91
|
|
|
|
|
|
|