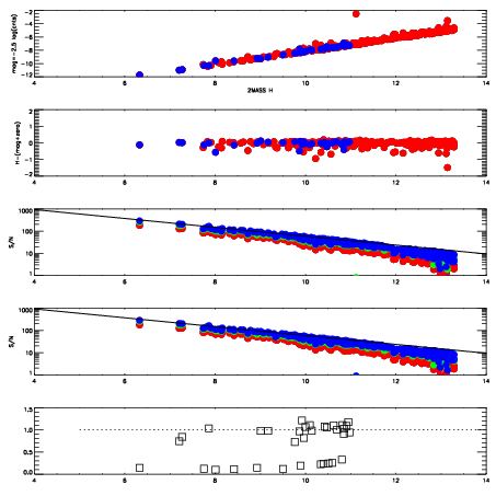
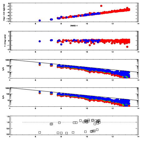
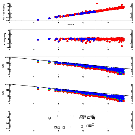
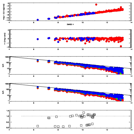
| Frame | Nreads | Zeropoints | Mag plots
| Spatial mag deviation
| Spatial sky 16325A emission deviations (filled: sky, open: star)
| Spatial sky continuum emission
| Spatial sky telluric CO2 absorption deviations (filled: H < 10)
|
| 3140095
| 47
| | Red | Green | Blue
| | z | | 17.82
| | znorm | | 13.64
| | sky | 13.6 | 13.5 | 13.5
| | S/N | 6.1 | 10.8 | 11.4
| | S/N(c) | 5.4 | 10.1 | 11.3
| | SN(E/C) | 0.94
|
|
|
|
|
|
|
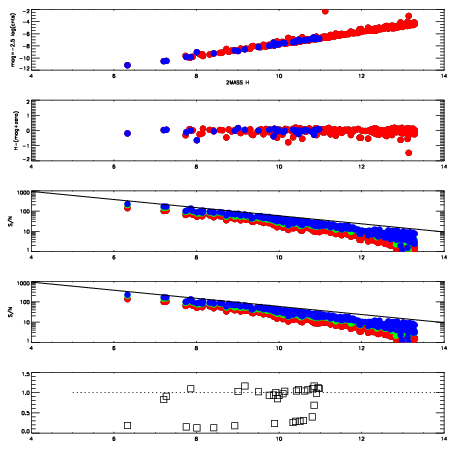
| 3140096
| 47
| | Red | Green | Blue
| | z | | 17.62
| | znorm | | 13.44
| | sky | 13.6 | 13.5 | 13.6
| | S/N | 4.9 | 9.3 | 10.1
| | S/N(c) | 4.3 | 8.5 | 9.7
| | SN(E/C) | 0.97
|
|
|
|
|
|
|
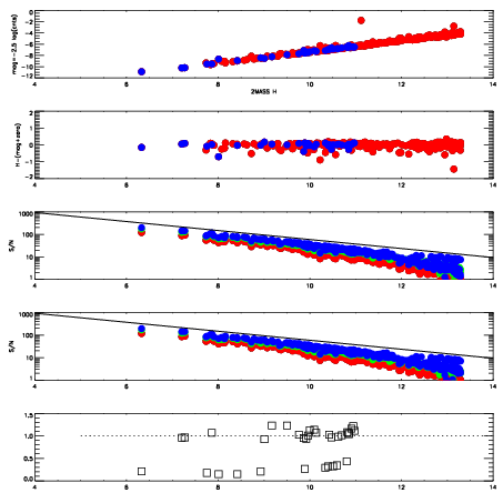
| 3140097
| 47
| | Red | Green | Blue
| | z | | 17.36
| | znorm | | 13.18
| | sky | 13.4 | 13.4 | 13.6
| | S/N | 4.0 | 7.4 | 8.1
| | S/N(c) | 3.4 | 6.9 | 8.0
| | SN(E/C) | 1.00
|
|
|
|
|
|
|
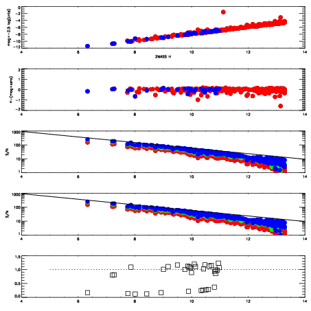
| 3140098
| 47
| | Red | Green | Blue
| | z | | 17.36
| | znorm | | 13.18
| | sky | 13.4 | 13.4 | 13.6
| | S/N | 4.0 | 7.6 | 8.3
| | S/N(c) | 3.5 | 7.0 | 8.0
| | SN(E/C) | 0.98
|
|
|
|
|
|
|
| 3140099
| 47
| | Red | Green | Blue
| | z | | 17.88
| | znorm | | 13.70
| | sky | 13.6 | 13.6 | 13.7
| | S/N | 6.2 | 11.7 | 12.3
| | S/N(c) | 5.6 | 10.7 | 11.7
| | SN(E/C) | 0.98
|
|
|
|
|
|
|
| 3140100
| 47
| | Red | Green | Blue
| | z | | 17.69
| | znorm | | 13.51
| | sky | 13.5 | 13.6 | 13.7
| | S/N | 5.3 | 10.1 | 10.7
| | S/N(c) | 4.9 | 9.4 | 10.2
| | SN(E/C) | 0.94
|
|
|
|
|
|
|
| 3140101
| 47
| | Red | Green | Blue
| | z | | 17.83
| | znorm | | 13.65
| | sky | 13.7 | 13.6 | 13.7
| | S/N | 6.0 | 11.6 | 11.9
| | S/N(c) | 5.3 | 10.6 | 11.3
| | SN(E/C) | 0.94
|
|
|
|
|
|
|
| 3140102
| 47
| | Red | Green | Blue
| | z | | 18.17
| | znorm | | 13.99
| | sky | 13.9 | 13.9 | 13.8
| | S/N | 8.1 | 14.8 | 15.0
| | S/N(c) | 7.2 | 13.7 | 14.7
| | SN(E/C) | 0.94
|
|
|
|
|
|
|