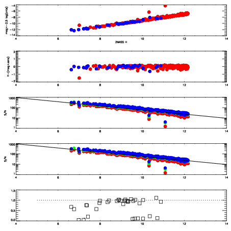
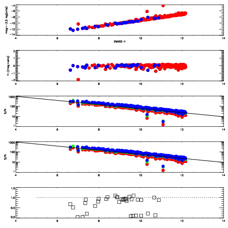
| Frame | Nreads | Zeropoints | Mag plots
| Spatial mag deviation
| Spatial sky 16325A emission deviations (filled: sky, open: star)
| Spatial sky continuum emission
| Spatial sky telluric CO2 absorption deviations (filled: H < 10)
|
| 10150037
| 47
| | Red | Green | Blue
| | z | | 19.08
| | znorm | | 14.90
| | sky | 14.9 | 14.3 | 14.2
| | S/N | 16.9 | 25.9 | 27.6
| | S/N(c) | 14.9 | 24.4 | 26.1
| | SN(E/C) | 0.90
|
|
|
|
|
|
|
| 10150038
| 47
| | Red | Green | Blue
| | z | | 19.10
| | znorm | | 14.92
| | sky | 14.8 | 14.3 | 14.3
| | S/N | 16.6 | 26.0 | 27.0
| | S/N(c) | 14.5 | 24.3 | 25.8
| | SN(E/C) | 0.85
|
|
|
|
|
|
|
| 10150039
| 47
| | Red | Green | Blue
| | z | | 19.05
| | znorm | | 14.87
| | sky | 14.6 | 14.4 | 14.4
| | S/N | 16.1 | 26.1 | 26.8
| | S/N(c) | 14.3 | 24.0 | 25.4
| | SN(E/C) | 0.87
|
|
|
|
|
|
|
| 10150040
| 47
| | Red | Green | Blue
| | z | | 19.10
| | znorm | | 14.92
| | sky | 14.6 | 14.4 | 14.4
| | S/N | 16.5 | 26.6 | 27.4
| | S/N(c) | 14.7 | 24.4 | 26.0
| | SN(E/C) | 0.89
|
|
|
|
|
|
|
| 10150041
| 47
| | Red | Green | Blue
| | z | | 19.13
| | znorm | | 14.95
| | sky | 14.7 | 14.6 | 14.3
| | S/N | 17.0 | 27.0 | 28.0
| | S/N(c) | 15.0 | 24.7 | 26.6
| | SN(E/C) | 0.86
|
|
|
|
|
|
|
| 10150042
| 47
| | Red | Green | Blue
| | z | | 19.18
| | znorm | | 15.00
| | sky | 14.8 | 14.5 | 14.3
| | S/N | 17.5 | 27.5 | 28.7
| | S/N(c) | 15.7 | 25.7 | 27.2
| | SN(E/C) | 0.81
|
|
|
|
|
|
|
| 10150043
| 47
| | Red | Green | Blue
| | z | | 19.16
| | znorm | | 14.98
| | sky | 14.7 | 14.6 | 14.4
| | S/N | 17.1 | 27.4 | 28.3
| | S/N(c) | 15.4 | 25.1 | 26.9
| | SN(E/C) | 0.83
|
|
|
|
|
|
|
| 10150044
| 47
| | Red | Green | Blue
| | z | | 19.17
| | znorm | | 14.99
| | sky | 14.7 | 14.5 | 14.3
| | S/N | 17.3 | 27.5 | 28.6
| | S/N(c) | 15.5 | 25.3 | 27.2
| | SN(E/C) | 0.82
|
|
|
|
|
|
|