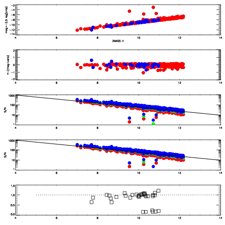
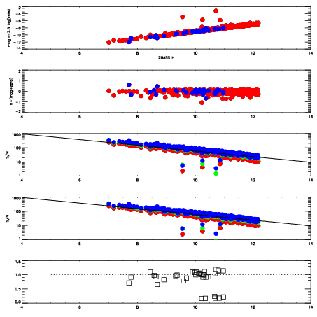
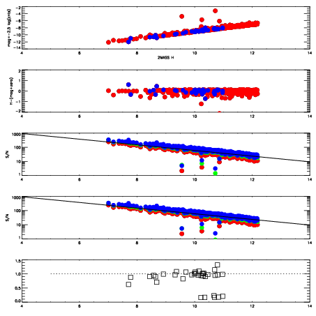
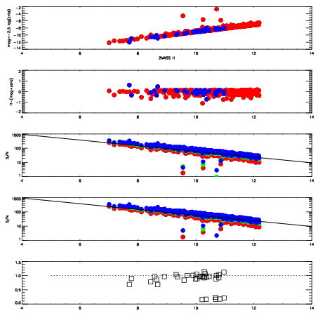
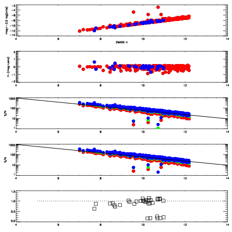
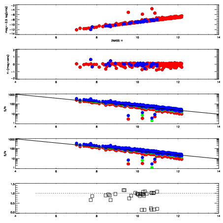
| Frame | Nreads | Zeropoints | Mag plots
| Spatial mag deviation
| Spatial sky 16325A emission deviations (filled: sky, open: star)
| Spatial sky continuum emission
| Spatial sky telluric CO2 absorption deviations (filled: H < 10)
|
| 10230038
| 47
| | Red | Green | Blue
| | z | | 19.04
| | znorm | | 14.86
| | sky | 14.4 | 14.2 | 14.0
| | S/N | 15.3 | 24.4 | 26.0
| | S/N(c) | 13.6 | 22.5 | 24.4
| | SN(E/C) | 0.95
|
|
|
|
|
|
|
| 10230039
| 47
| | Red | Green | Blue
| | z | | 19.06
| | znorm | | 14.88
| | sky | 14.2 | 14.2 | 14.3
| | S/N | 15.3 | 24.4 | 26.6
| | S/N(c) | 13.5 | 22.5 | 24.8
| | SN(E/C) | 0.98
|
|
|
|
|
|
|
| 10230040
| 47
| | Red | Green | Blue
| | z | | 19.08
| | znorm | | 14.90
| | sky | 14.3 | 14.3 | 14.3
| | S/N | 15.3 | 24.6 | 26.8
| | S/N(c) | 13.5 | 22.8 | 25.1
| | SN(E/C) | 0.95
|
|
|
|
|
|
|
| 10230041
| 47
| | Red | Green | Blue
| | z | | 19.11
| | znorm | | 14.93
| | sky | 14.4 | 14.2 | 14.4
| | S/N | 16.2 | 25.5 | 27.9
| | S/N(c) | 14.3 | 23.5 | 26.0
| | SN(E/C) | 0.96
|
|
|
|
|
|
|
| 10230042
| 47
| | Red | Green | Blue
| | z | | 19.12
| | znorm | | 14.94
| | sky | 14.6 | 14.3 | 14.4
| | S/N | 16.3 | 25.4 | 28.0
| | S/N(c) | 14.4 | 23.4 | 26.6
| | SN(E/C) | 0.94
|
|
|
|
|
|
|
| 10230043
| 47
| | Red | Green | Blue
| | z | | 19.08
| | znorm | | 14.90
| | sky | 14.5 | 14.3 | 14.3
| | S/N | 15.9 | 25.1 | 27.6
| | S/N(c) | 13.9 | 23.1 | 26.0
| | SN(E/C) | 0.95
|
|
|
|
|
|
|
| 10230044
| 47
| | Red | Green | Blue
| | z | | 19.05
| | znorm | | 14.86
| | sky | 14.4 | 14.3 | 14.4
| | S/N | 15.4 | 24.7 | 26.5
| | S/N(c) | 13.7 | 22.6 | 25.1
| | SN(E/C) | 0.95
|
|
|
|
|
|
|
| 10230045
| 47
| | Red | Green | Blue
| | z | | 19.07
| | znorm | | 14.89
| | sky | 14.6 | 14.3 | 14.4
| | S/N | 15.6 | 24.6 | 27.0
| | S/N(c) | 13.8 | 22.9 | 25.2
| | SN(E/C) | 0.95
|
|
|
|
|
|
|