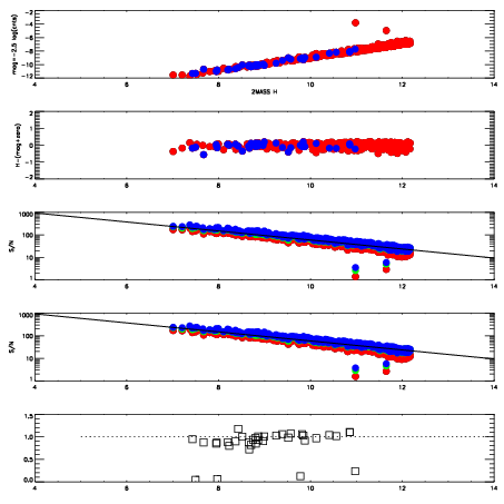
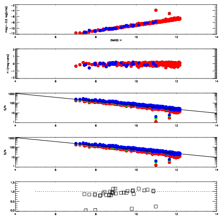
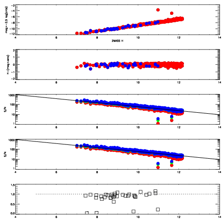
Left plots: red are targets, blue are telluric. Observed mags are calculated from median value of green chip. Zeropoint gives overall throughput: bigger number is more throughput.
First spatial plots: circles are objects, squares are tellurics, crosses are sky fibers. Colors give deviation of observed mag from expected 2MASS mag using the median zeropoint; red is brighter
Second spatial plots: circles are sky fibers. Colors give sky line brightness relative to plate median sky line brightness
FrameNreadsZeropointsMag plots Spatial mag deviation Spatial sky 16325A emission deviations (filled: sky, open: star) Spatial sky continuum emission Spatial sky telluric CO2 absorption deviations (filled: H < 10)
10140011 47
RedGreenBlue
z18.89
znorm14.71
sky 14.5 14.3 14.2
S/N 15.5 24.4 24.7
S/N(c) 14.1 22.6 23.4
SN(E/C) 0.92
10140012 47
RedGreenBlue
z18.89
znorm14.71
sky 14.7 14.7 14.7
S/N 15.1 23.7 24.4
S/N(c) 13.8 22.0 22.9
SN(E/C) 0.94
10140013 47
RedGreenBlue
z18.92
znorm14.74
sky 14.9 14.7 14.6
S/N 15.2 24.2 24.6
S/N(c) 13.9 22.2 23.4
SN(E/C) 0.94
10140014 47
RedGreenBlue
z18.92
znorm14.74
sky 14.7 14.8 14.7
S/N 14.9 24.0 24.3
S/N(c) 13.7 22.2 23.1
SN(E/C) 0.91