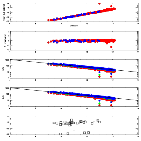
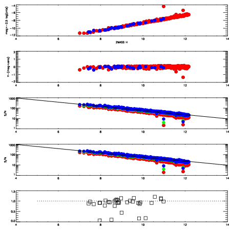
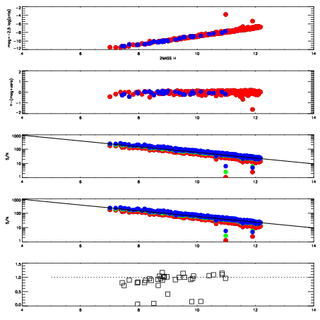
| Frame | Nreads | Zeropoints | Mag plots
| Spatial mag deviation
| Spatial sky 16325A emission deviations (filled: sky, open: star)
| Spatial sky continuum emission
| Spatial sky telluric CO2 absorption deviations (filled: H < 10)
|
| 10420022
| 47
| | Red | Green | Blue
| | z | | 18.65
| | znorm | | 14.47
| | sky | 15.0 | 14.6 | 14.5
| | S/N | 12.8 | 20.0 | 21.9
| | S/N(c) | 11.1 | 18.3 | 20.2
| | SN(E/C) | 0.95
|
|
|
|
|
|
|
| 10420023
| 47
| | Red | Green | Blue
| | z | | 18.66
| | znorm | | 14.48
| | sky | 15.1 | 14.4 | 14.7
| | S/N | 12.6 | 20.0 | 22.0
| | S/N(c) | 11.1 | 18.5 | 20.6
| | SN(E/C) | 0.94
|
|
|
|
|
|
|
| 10420024
| 47
| | Red | Green | Blue
| | z | | 18.79
| | znorm | | 14.61
| | sky | 15.0 | 14.5 | 14.7
| | S/N | 13.9 | 21.7 | 23.7
| | S/N(c) | 12.1 | 20.1 | 21.7
| | SN(E/C) | 0.96
|
|
|
|
|
|
|
| 10420025
| 47
| | Red | Green | Blue
| | z | | 18.73
| | znorm | | 14.55
| | sky | 14.8 | 14.8 | 14.9
| | S/N | 13.2 | 20.8 | 22.7
| | S/N(c) | 11.5 | 19.1 | 21.0
| | SN(E/C) | 0.93
|
|
|
|
|
|
|
| 10420026
| 47
| | Red | Green | Blue
| | z | | 18.79
| | znorm | | 14.61
| | sky | 14.7 | 14.6 | 14.8
| | S/N | 13.6 | 21.7 | 23.7
| | S/N(c) | 12.1 | 20.0 | 21.8
| | SN(E/C) | 0.89
|
|
|
|
|
|
|
| 10420027
| 47
| | Red | Green | Blue
| | z | | 18.88
| | znorm | | 14.70
| | sky | 14.6 | 14.6 | 14.7
| | S/N | 14.6 | 22.8 | 24.8
| | S/N(c) | 13.0 | 21.2 | 23.1
| | SN(E/C) | 0.93
|
|
|
|
|
|
|