PLATE: 5581 MJD: 55906 FIELD: 109-04

FrameCartsec zseeingNreadsDitherPixshiftZerosky continuumS/NS/N(c)
3440008 8 1.09 2.28 47 0.00 -0.00 18.63 [14.48,14.15,14.01] [ 12.4, 21.1, 21.0] [ 11.0, 19.2, 19.7]
3440009 8 1.09 2.23 47 0.46 -0.00 18.55 [14.55,14.35,14.37] [ 11.2, 19.8, 20.0] [ 9.9, 18.1, 18.4]
3440010 8 1.09 2.42 47 0.47 -0.00 18.65 [14.50,14.35,14.46] [ 12.3, 21.2, 21.3] [ 10.7, 19.5, 19.8]
3440011 8 1.09 2.03 47 0.01 0.00 18.69 [14.64,14.40,14.43] [ 12.6, 21.3, 21.8] [ 10.9, 19.7, 20.2]
3440012 8 1.09 2.38 47 0.00 0.00 18.72 [14.63,14.33,14.38] [ 12.6, 21.6, 22.0] [ 10.9, 20.0, 20.4]
3440013 8 1.09 2.29 47 0.45 0.00 18.92 [14.53,14.36,14.34] [ 14.7, 24.3, 25.2] [ 12.9, 22.3, 23.4]
3440014 8 1.10 1.66 47 0.45 -0.00 19.02 [14.34,14.37,14.42] [ 15.2, 25.2, 26.0] [ 13.4, 23.0, 24.1]
3440015 8 1.10 1.75 47 -0.00 0.00 18.83 [14.49,14.21,14.32] [ 13.5, 22.4, 23.2] [ 11.8, 20.8, 21.5]

IPAIRNAMESHIFTNEWSHIFTS/N NAMESHIFTNEWSHIFTS/N
0 03440010 0.469 0.000 247.73 03440011 0.005 0.464 251.38
1 03440014 0.449 0.021 289.88 03440015 -0.002 0.471 268.16
2 03440013 0.449 0.020 280.26 03440012 0.003 0.466 256.09
3 03440009 0.464 0.005 234.47 03440008 0.000 0.469 245.50

Visit (multiple exposure and dither combined) spectra

FrameZeropointsMag plots Spatial mag deviation Spatial sky 16325A emission deviations (filled: sky, open: star) Spatial sky continuum emission Spatial sky telluric CO2 absorption deviations (filled: H < 10)
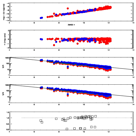
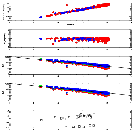
3440008
RedGreenBlue
z18.63
znorm14.45
sky 14.5 14.2 14.0
S/N 12.4 21.1 21.0
S/N(c) 11.0 19.2 19.7
SN(E/C) 0.98
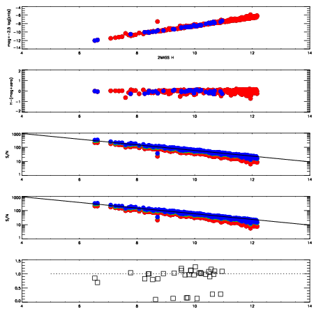
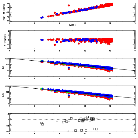
3440009
RedGreenBlue
z18.55
znorm14.37
sky 14.5 14.4 14.4
S/N 11.2 19.8 20.0
S/N(c) 9.9 18.1 18.4
SN(E/C) 0.98
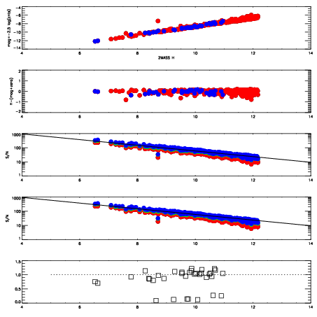
3440010
RedGreenBlue
z18.65
znorm14.47
sky 14.5 14.3 14.5
S/N 12.3 21.2 21.3
S/N(c) 10.7 19.5 19.8
SN(E/C) 0.94
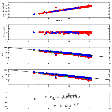
3440011
RedGreenBlue
z18.69
znorm14.51
sky 14.6 14.4 14.4
S/N 12.6 21.3 21.8
S/N(c) 10.9 19.7 20.2
SN(E/C) 0.98
3440012
RedGreenBlue
z18.72
znorm14.54
sky 14.6 14.3 14.4
S/N 12.6 21.6 22.0
S/N(c) 10.9 20.0 20.4
SN(E/C) 0.96
3440013
RedGreenBlue
z18.92
znorm14.74
sky 14.5 14.4 14.3
S/N 14.7 24.3 25.2
S/N(c) 12.9 22.3 23.4
SN(E/C) 0.95
3440014
RedGreenBlue
z19.02
znorm14.83
sky 14.3 14.4 14.4
S/N 15.2 25.2 26.0
S/N(c) 13.4 23.0 24.1
SN(E/C) 0.93
3440015
RedGreenBlue
z18.83
znorm14.65
sky 14.5 14.2 14.3
S/N 13.5 22.4 23.2
S/N(c) 11.8 20.8 21.5
SN(E/C) 0.93