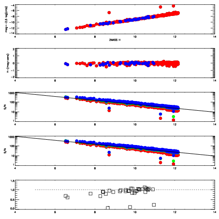
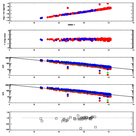
| Frame | Nreads | Zeropoints | Mag plots
| Spatial mag deviation
| Spatial sky 16325A emission deviations (filled: sky, open: star)
| Spatial sky continuum emission
| Spatial sky telluric CO2 absorption deviations (filled: H < 10)
|
| 10160039
| 47
| | Red | Green | Blue
| | z | | 19.06
| | znorm | | 14.88
| | sky | 14.7 | 14.4 | 14.5
| | S/N | 15.7 | 24.5 | 28.4
| | S/N(c) | 14.0 | 22.9 | 26.5
| | SN(E/C) | 0.92
|
|
|
|
|
|
|
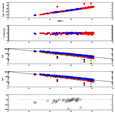
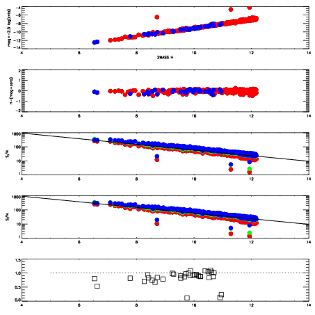
| 10160040
| 47
| | Red | Green | Blue
| | z | | 19.03
| | znorm | | 14.85
| | sky | 14.6 | 14.5 | 14.8
| | S/N | 15.4 | 24.3 | 27.5
| | S/N(c) | 13.8 | 22.6 | 26.1
| | SN(E/C) | 0.93
|
|
|
|
|
|
|
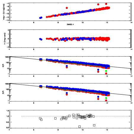
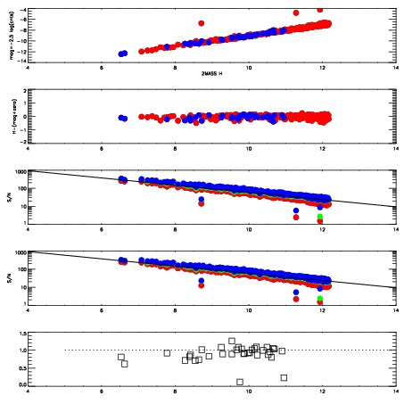
| 10160041
| 47
| | Red | Green | Blue
| | z | | 19.08
| | znorm | | 14.90
| | sky | 14.8 | 14.6 | 14.8
| | S/N | 15.6 | 25.0 | 27.8
| | S/N(c) | 14.1 | 23.3 | 26.3
| | SN(E/C) | 0.93
|
|
|
|
|
|
|
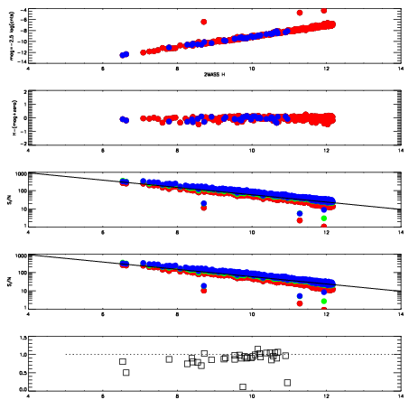
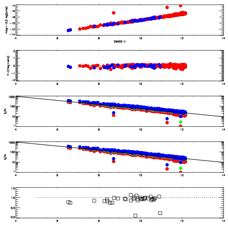
| 10160042
| 47
| | Red | Green | Blue
| | z | | 19.03
| | znorm | | 14.85
| | sky | 14.8 | 14.5 | 14.9
| | S/N | 15.0 | 24.1 | 27.0
| | S/N(c) | 13.5 | 22.4 | 25.6
| | SN(E/C) | 0.95
|
|
|
|
|
|
|
| 10160043
| 47
| | Red | Green | Blue
| | z | | 19.04
| | znorm | | 14.86
| | sky | 14.6 | 14.6 | 14.8
| | S/N | 15.3 | 24.5 | 27.0
| | S/N(c) | 13.6 | 22.9 | 25.6
| | SN(E/C) | 0.92
|
|
|
|
|
|
|
| 10160044
| 47
| | Red | Green | Blue
| | z | | 19.14
| | znorm | | 14.96
| | sky | 14.9 | 14.6 | 14.8
| | S/N | 16.5 | 25.7 | 28.1
| | S/N(c) | 14.9 | 24.2 | 26.4
| | SN(E/C) | 0.90
|
|
|
|
|
|
|
| 10160045
| 47
| | Red | Green | Blue
| | z | | 19.07
| | znorm | | 14.89
| | sky | 14.8 | 14.6 | 14.8
| | S/N | 15.6 | 25.0 | 27.6
| | S/N(c) | 14.0 | 23.4 | 25.6
| | SN(E/C) | 0.91
|
|
|
|
|
|
|
| 10160046
| 47
| | Red | Green | Blue
| | z | | 19.13
| | znorm | | 14.95
| | sky | 15.0 | 14.6 | 14.7
| | S/N | 16.2 | 25.3 | 27.9
| | S/N(c) | 14.5 | 23.7 | 26.3
| | SN(E/C) | 0.88
|
|
|
|
|
|
|