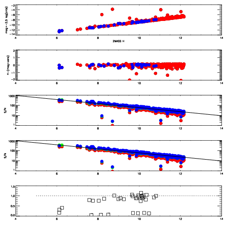
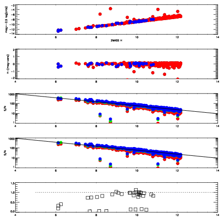
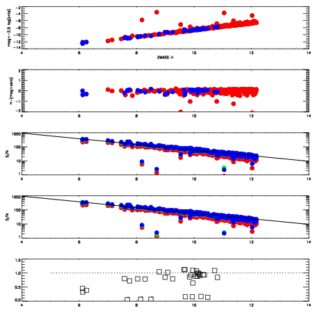
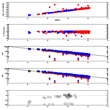
Left plots: red are targets, blue are telluric. Observed mags are calculated from median value of green chip. Zeropoint gives overall throughput: bigger number is more throughput.
First spatial plots: circles are objects, squares are tellurics, crosses are sky fibers. Colors give deviation of observed mag from expected 2MASS mag using the median zeropoint; red is brighter
Second spatial plots: circles are sky fibers. Colors give sky line brightness relative to plate median sky line brightness
FrameNreadsZeropointsMag plots Spatial mag deviation Spatial sky 16325A emission deviations (filled: sky, open: star) Spatial sky continuum emission Spatial sky telluric CO2 absorption deviations (filled: H < 10)
9200011 47
RedGreenBlue
z18.65
znorm14.47
sky 14.5 14.5 14.6
S/N 11.1 18.2 18.6
S/N(c) 9.9 17.0 17.6
SN(E/C) 0.85
9200012 47
RedGreenBlue
z18.83
znorm14.65
sky 14.5 14.6 14.9
S/N 12.1 19.6 20.5
S/N(c) 10.6 18.2 19.0
SN(E/C) 0.84
9200013 47
RedGreenBlue
z18.81
znorm14.63
sky 14.4 14.4 14.5
S/N 11.7 19.3 20.5
S/N(c) 10.4 17.9 19.0
SN(E/C) 0.86
9200014 47
RedGreenBlue
z18.82
znorm14.64
sky 13.2 13.2 13.5
S/N 10.8 17.1 19.0
S/N(c) 10.0 16.3 17.8
SN(E/C) 0.85