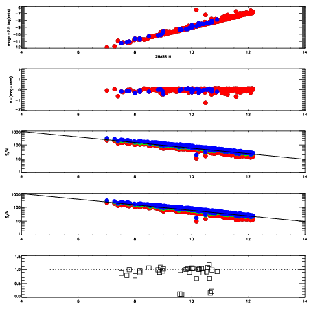
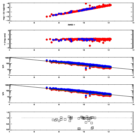
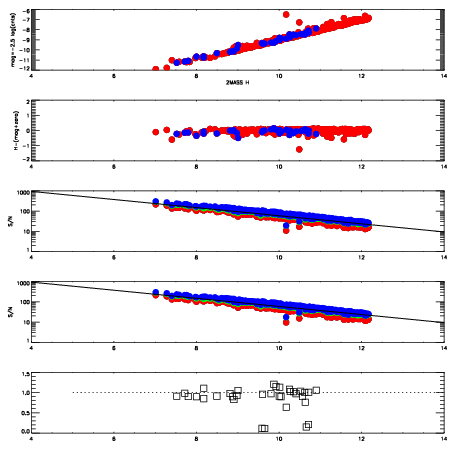
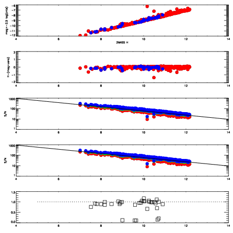
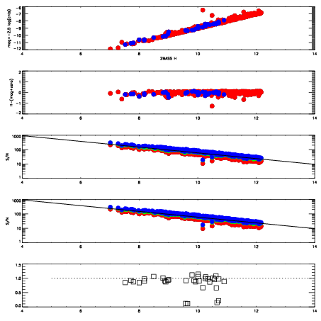
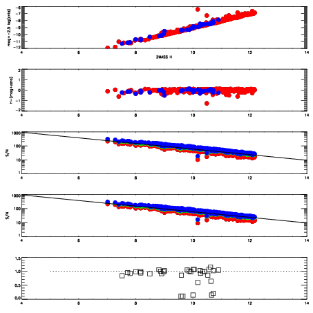
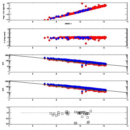
| Frame | Nreads | Zeropoints | Mag plots
| Spatial mag deviation
| Spatial sky 16325A emission deviations (filled: sky, open: star)
| Spatial sky continuum emission
| Spatial sky telluric CO2 absorption deviations (filled: H < 10)
|
| 6950025
| 47
| | Red | Green | Blue
| | z | | 19.14
| | znorm | | 14.96
| | sky | 14.6 | 14.1 | 14.0
| | S/N | 17.6 | 26.8 | 27.9
| | S/N(c) | 15.7 | 25.1 | 26.7
| | SN(E/C) | 0.95
|
|
|
|
|
|
|
| 6950026
| 47
| | Red | Green | Blue
| | z | | 19.11
| | znorm | | 14.93
| | sky | 14.6 | 14.2 | 14.3
| | S/N | 17.3 | 26.4 | 27.7
| | S/N(c) | 15.4 | 24.9 | 26.6
| | SN(E/C) | 0.93
|
|
|
|
|
|
|
| 6950027
| 47
| | Red | Green | Blue
| | z | | 19.05
| | znorm | | 14.87
| | sky | 14.9 | 14.4 | 14.4
| | S/N | 16.4 | 25.7 | 26.7
| | S/N(c) | 14.4 | 24.1 | 25.5
| | SN(E/C) | 0.95
|
|
|
|
|
|
|
| 6950028
| 47
| | Red | Green | Blue
| | z | | 18.97
| | znorm | | 14.79
| | sky | 14.6 | 14.5 | 14.4
| | S/N | 15.5 | 24.8 | 25.8
| | S/N(c) | 14.1 | 23.1 | 24.8
| | SN(E/C) | 0.92
|
|
|
|
|
|
|
| 6950029
| 47
| | Red | Green | Blue
| | z | | 18.97
| | znorm | | 14.79
| | sky | 14.8 | 14.5 | 14.5
| | S/N | 15.4 | 24.8 | 25.8
| | S/N(c) | 13.7 | 23.1 | 24.6
| | SN(E/C) | 0.97
|
|
|
|
|
|
|
| 6950030
| 47
| | Red | Green | Blue
| | z | | 19.00
| | znorm | | 14.82
| | sky | 15.0 | 14.5 | 14.4
| | S/N | 15.8 | 25.1 | 26.1
| | S/N(c) | 14.0 | 23.5 | 24.9
| | SN(E/C) | 0.96
|
|
|
|
|
|
|
| 6950031
| 47
| | Red | Green | Blue
| | z | | 19.01
| | znorm | | 14.83
| | sky | 14.6 | 14.5 | 14.5
| | S/N | 15.7 | 25.2 | 26.3
| | S/N(c) | 14.1 | 23.6 | 24.9
| | SN(E/C) | 0.96
|
|
|
|
|
|
|
| 6950032
| 47
| | Red | Green | Blue
| | z | | 19.04
| | znorm | | 14.85
| | sky | 14.7 | 14.5 | 14.5
| | S/N | 16.0 | 25.8 | 26.7
| | S/N(c) | 14.5 | 24.3 | 25.4
| | SN(E/C) | 0.98
|
|
|
|
|
|
|