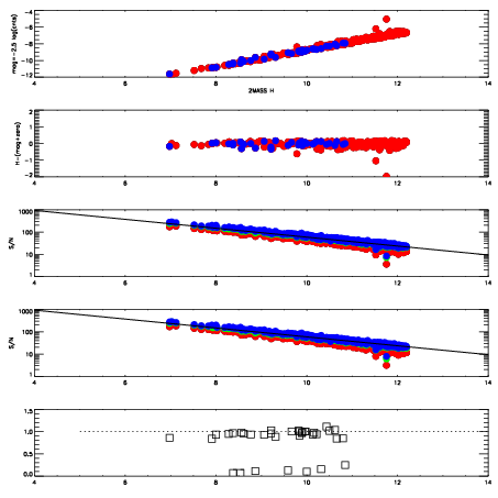
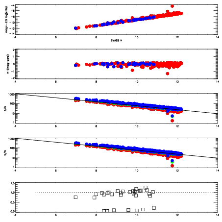
| Frame | Nreads | Zeropoints | Mag plots
| Spatial mag deviation
| Spatial sky 16325A emission deviations (filled: sky, open: star)
| Spatial sky continuum emission
| Spatial sky telluric CO2 absorption deviations (filled: H < 10)
|
| 2930008
| 47
| | Red | Green | Blue
| | z | | 19.06
| | znorm | | 14.88
| | sky | 14.3 | 14.5 | 14.4
| | S/N | 16.2 | 26.7 | 27.4
| | S/N(c) | 14.5 | 25.1 | 26.4
| | SN(E/C) | 0.95
|
|
|
|
|
|
|
| 2930009
| 47
| | Red | Green | Blue
| | z | | 18.82
| | znorm | | 14.64
| | sky | 14.6 | 14.8 | 14.9
| | S/N | 13.7 | 23.1 | 24.2
| | S/N(c) | 12.2 | 21.9 | 23.1
| | SN(E/C) | 0.99
|
|
|
|
|
|
|
| 2930010
| 47
| | Red | Green | Blue
| | z | | 18.77
| | znorm | | 14.59
| | sky | 14.9 | 14.9 | 14.9
| | S/N | 13.3 | 22.7 | 23.5
| | S/N(c) | 11.6 | 21.6 | 22.4
| | SN(E/C) | 0.94
|
|
|
|
|
|
|
| 2930011
| 47
| | Red | Green | Blue
| | z | | 18.88
| | znorm | | 14.70
| | sky | 14.7 | 14.8 | 14.9
| | S/N | 14.2 | 23.9 | 24.5
| | S/N(c) | 12.4 | 22.6 | 23.4
| | SN(E/C) | 0.94
|
|
|
|
|
|
|
| 2930012
| 47
| | Red | Green | Blue
| | z | | 18.91
| | znorm | | 14.73
| | sky | 15.4 | 15.2 | 14.9
| | S/N | 14.5 | 24.1 | 25.4
| | S/N(c) | 12.8 | 22.9 | 24.2
| | SN(E/C) | 0.96
|
|
|
|
|
|
|
| 2930013
| 47
| | Red | Green | Blue
| | z | | 19.05
| | znorm | | 14.87
| | sky | 14.8 | 14.9 | 14.8
| | S/N | 15.8 | 26.0 | 27.4
| | S/N(c) | 14.0 | 24.7 | 26.0
| | SN(E/C) | 0.95
|
|
|
|
|
|
|
| 2930014
| 47
| | Red | Green | Blue
| | z | | 19.11
| | znorm | | 14.93
| | sky | 14.5 | 14.8 | 14.8
| | S/N | 16.4 | 26.7 | 28.3
| | S/N(c) | 14.4 | 25.6 | 26.9
| | SN(E/C) | 0.92
|
|
|
|
|
|
|
| 2930015
| 47
| | Red | Green | Blue
| | z | | 19.20
| | znorm | | 15.02
| | sky | 14.8 | 14.9 | 14.7
| | S/N | 17.0 | 28.1 | 29.6
| | S/N(c) | 15.3 | 26.7 | 28.2
| | SN(E/C) | 0.94
|
|
|
|
|
|
|