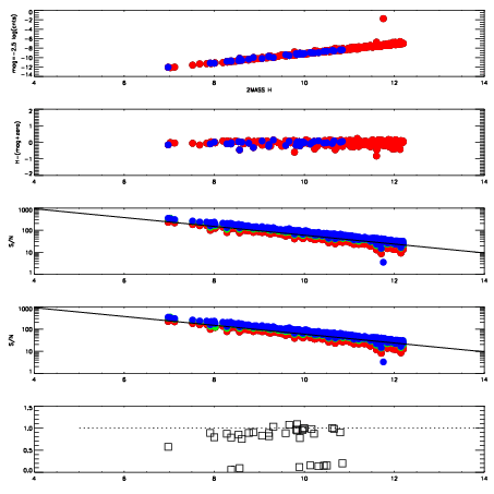
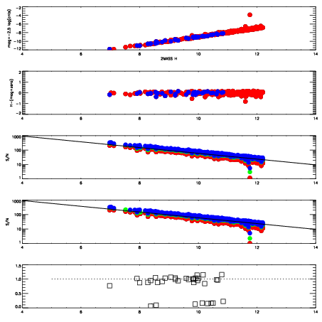
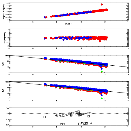
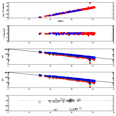
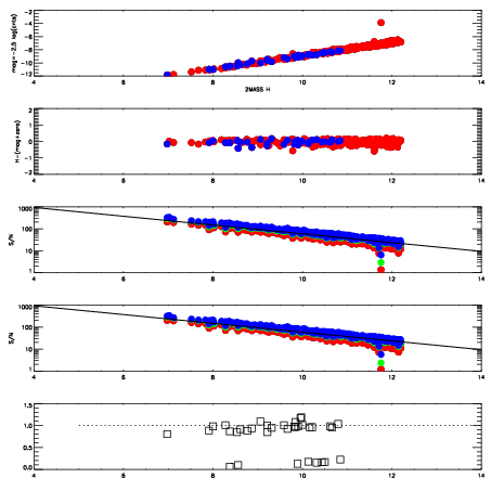
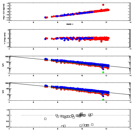
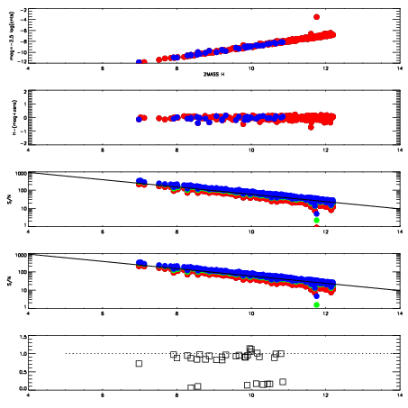
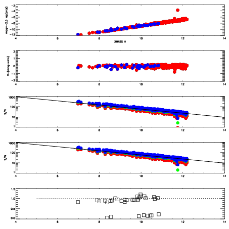
| Frame | Nreads | Zeropoints | Mag plots
| Spatial mag deviation
| Spatial sky 16325A emission deviations (filled: sky, open: star)
| Spatial sky continuum emission
| Spatial sky telluric CO2 absorption deviations (filled: H < 10)
|
| 3200021
| 47
| | Red | Green | Blue
| | z | | 18.90
| | znorm | | 14.72
| | sky | 15.3 | 14.9 | 14.6
| | S/N | 14.5 | 23.2 | 24.9
| | S/N(c) | 12.8 | 21.8 | 23.5
| | SN(E/C) | 0.92
|
|
|
|
|
|
|
| 3200022
| 47
| | Red | Green | Blue
| | z | | 18.99
| | znorm | | 14.81
| | sky | 14.9 | 14.7 | 14.8
| | S/N | 15.5 | 24.4 | 26.6
| | S/N(c) | 13.7 | 22.9 | 25.0
| | SN(E/C) | 0.92
|
|
|
|
|
|
|
| 3200023
| 47
| | Red | Green | Blue
| | z | | 18.95
| | znorm | | 14.77
| | sky | 15.1 | 14.8 | 14.9
| | S/N | 14.9 | 23.9 | 26.0
| | S/N(c) | 13.1 | 22.3 | 24.5
| | SN(E/C) | 0.94
|
|
|
|
|
|
|
| 3200024
| 47
| | Red | Green | Blue
| | z | | 19.09
| | znorm | | 14.91
| | sky | 14.9 | 14.8 | 14.8
| | S/N | 16.4 | 25.9 | 27.9
| | S/N(c) | 14.6 | 24.0 | 26.4
| | SN(E/C) | 0.87
|
|
|
|
|
|
|
| 3200025
| 47
| | Red | Green | Blue
| | z | | 19.16
| | znorm | | 14.98
| | sky | 14.9 | 14.8 | 14.7
| | S/N | 16.8 | 26.9 | 29.4
| | S/N(c) | 15.3 | 25.3 | 27.8
| | SN(E/C) | 0.87
|
|
|
|
|
|
|
| 3200026
| 47
| | Red | Green | Blue
| | z | | 18.94
| | znorm | | 14.76
| | sky | 15.0 | 15.0 | 14.8
| | S/N | 14.9 | 24.3 | 26.1
| | S/N(c) | 13.3 | 22.7 | 24.6
| | SN(E/C) | 0.91
|
|
|
|
|
|
|
| 3200027
| 47
| | Red | Green | Blue
| | z | | 18.72
| | znorm | | 14.54
| | sky | 15.1 | 15.0 | 15.0
| | S/N | 12.9 | 21.7 | 22.7
| | S/N(c) | 11.1 | 20.1 | 21.3
| | SN(E/C) | 0.94
|
|
|
|
|
|
|
| 3200028
| 47
| | Red | Green | Blue
| | z | | 18.98
| | znorm | | 14.80
| | sky | 14.9 | 14.9 | 14.9
| | S/N | 15.3 | 24.4 | 26.3
| | S/N(c) | 13.3 | 22.7 | 24.8
| | SN(E/C) | 0.95
|
|
|
|
|
|
|