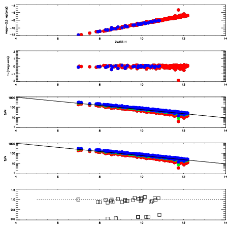
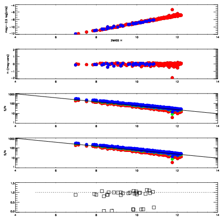
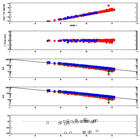
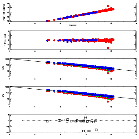
| Frame | Nreads | Zeropoints | Mag plots
| Spatial mag deviation
| Spatial sky 16325A emission deviations (filled: sky, open: star)
| Spatial sky continuum emission
| Spatial sky telluric CO2 absorption deviations (filled: H < 10)
|
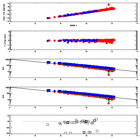
| 3700038
| 47
| | Red | Green | Blue
| | z | | 18.85
| | znorm | | 14.67
| | sky | 15.1 | 14.6 | 14.4
| | S/N | 14.0 | 23.0 | 25.2
| | S/N(c) | 12.3 | 21.7 | 24.3
| | SN(E/C) | 0.95
|
|
|
|
|
|
|
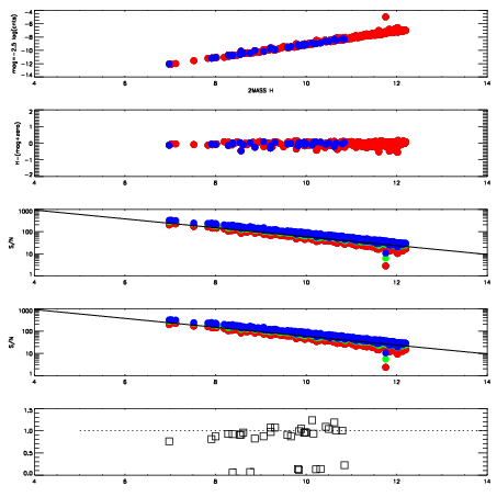
| 3700039
| 47
| | Red | Green | Blue
| | z | | 18.92
| | znorm | | 14.74
| | sky | 14.6 | 14.5 | 14.7
| | S/N | 14.4 | 24.1 | 26.5
| | S/N(c) | 12.9 | 22.7 | 25.6
| | SN(E/C) | 0.93
|
|
|
|
|
|
|
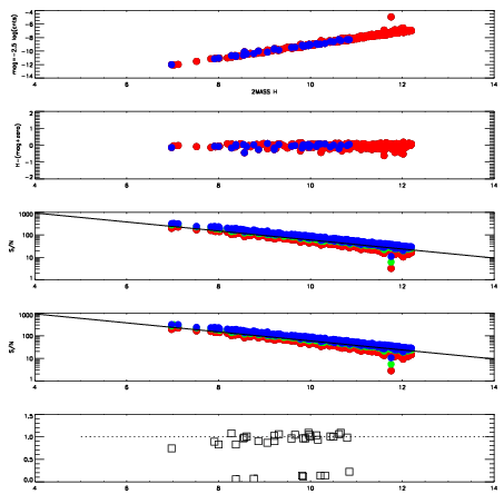
| 3700040
| 47
| | Red | Green | Blue
| | z | | 18.97
| | znorm | | 14.79
| | sky | 14.9 | 14.6 | 14.7
| | S/N | 14.9 | 24.7 | 27.0
| | S/N(c) | 13.4 | 23.2 | 26.2
| | SN(E/C) | 0.95
|
|
|
|
|
|
|
| 3700041
| 47
| | Red | Green | Blue
| | z | | 19.07
| | znorm | | 14.89
| | sky | 15.2 | 14.7 | 14.8
| | S/N | 15.7 | 26.2 | 28.1
| | S/N(c) | 14.1 | 24.6 | 27.3
| | SN(E/C) | 0.96
|
|
|
|
|
|
|
| 3700042
| 47
| | Red | Green | Blue
| | z | | 19.18
| | znorm | | 15.00
| | sky | 14.9 | 14.7 | 14.7
| | S/N | 17.1 | 28.0 | 30.5
| | S/N(c) | 15.4 | 26.7 | 29.5
| | SN(E/C) | 0.91
|
|
|
|
|
|
|
| 3700043
| 47
| | Red | Green | Blue
| | z | | 19.12
| | znorm | | 14.94
| | sky | 14.7 | 14.6 | 14.8
| | S/N | 16.5 | 27.3 | 29.2
| | S/N(c) | 14.6 | 25.7 | 28.1
| | SN(E/C) | 0.96
|
|
|
|
|
|
|
| 3700044
| 47
| | Red | Green | Blue
| | z | | 19.14
| | znorm | | 14.96
| | sky | 14.7 | 14.7 | 14.6
| | S/N | 16.8 | 27.5 | 29.5
| | S/N(c) | 15.0 | 25.7 | 28.6
| | SN(E/C) | 0.92
|
|
|
|
|
|
|
| 3700045
| 47
| | Red | Green | Blue
| | z | | 19.03
| | znorm | | 14.84
| | sky | 14.8 | 14.8 | 14.7
| | S/N | 15.6 | 25.7 | 27.8
| | S/N(c) | 14.0 | 24.2 | 27.0
| | SN(E/C) | 0.98
|
|
|
|
|
|
|