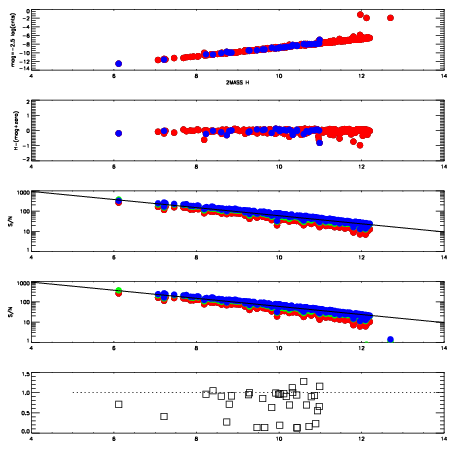
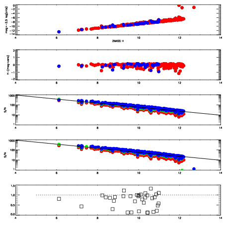
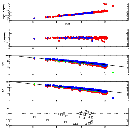
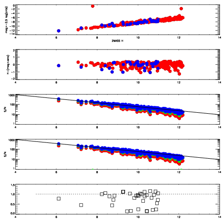
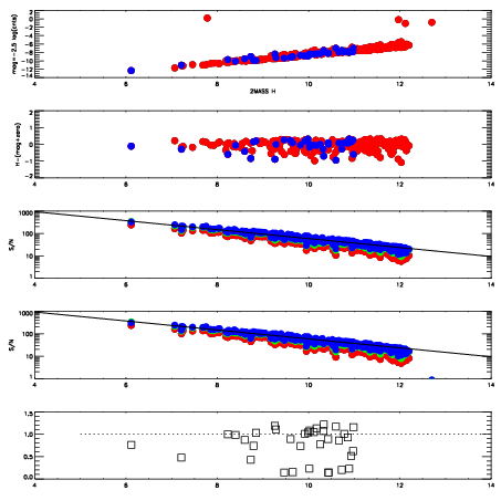
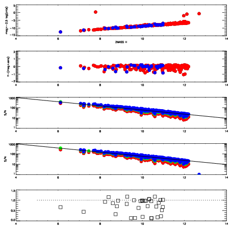
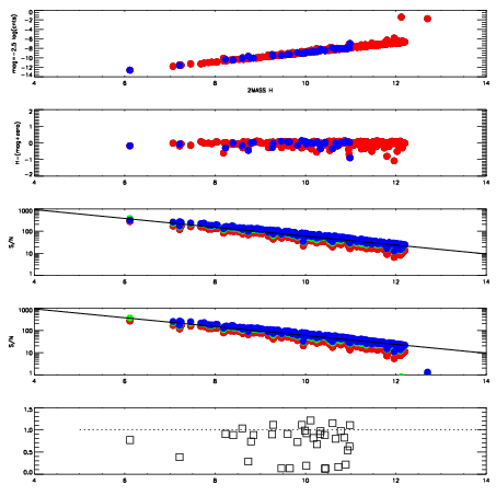
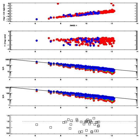
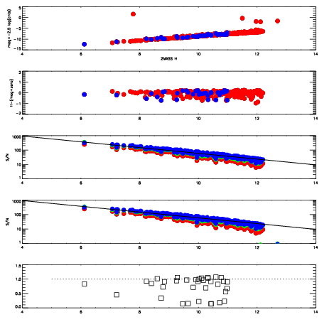
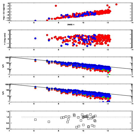
| Frame | Nreads | Zeropoints | Mag plots
| Spatial mag deviation
| Spatial sky 16325A emission deviations (filled: sky, open: star)
| Spatial sky continuum emission
| Spatial sky telluric CO2 absorption deviations (filled: H < 10)
|
| 3200032
| 47
| | Red | Green | Blue
| | z | | 17.92
| | znorm | | 13.74
| | sky | 14.7 | 14.2 | 14.3
| | S/N | 7.1 | 12.9 | 14.8
| | S/N(c) | 6.0 | 11.6 | 13.7
| | SN(E/C) | 0.96
|
|
|
|
|
|
|
| 3200033
| 47
| | Red | Green | Blue
| | z | | 18.17
| | znorm | | 13.99
| | sky | 14.6 | 14.4 | 14.7
| | S/N | 8.0 | 15.5 | 16.6
| | S/N(c) | 6.3 | 13.4 | 13.9
| | SN(E/C) | 0.92
|
|
|
|
|
|
|
| 3200034
| 47
| | Red | Green | Blue
| | z | | 18.35
| | znorm | | 14.17
| | sky | 14.7 | 14.4 | 14.6
| | S/N | 10.0 | 17.6 | 19.0
| | S/N(c) | 8.3 | 15.7 | 17.0
| | SN(E/C) | 0.91
|
|
|
|
|
|
|
| 3200035
| 47
| | Red | Green | Blue
| | z | | 18.44
| | znorm | | 14.26
| | sky | 14.5 | 14.5 | 14.6
| | S/N | 10.2 | 17.6 | 18.7
| | S/N(c) | 8.6 | 15.6 | 17.1
| | SN(E/C) | 0.89
|
|
|
|
|
|
|
| 3200036
| 47
| | Red | Green | Blue
| | z | | 18.54
| | znorm | | 14.36
| | sky | 14.9 | 14.5 | 14.7
| | S/N | 11.3 | 18.5 | 20.1
| | S/N(c) | 9.5 | 16.7 | 18.3
| | SN(E/C) | 0.89
|
|
|
|
|
|
|
| 3200037
| 47
| | Red | Green | Blue
| | z | | 18.65
| | znorm | | 14.47
| | sky | 14.9 | 14.5 | 14.6
| | S/N | 11.9 | 19.8 | 22.0
| | S/N(c) | 10.1 | 17.7 | 19.4
| | SN(E/C) | 0.90
|
|
|
|
|
|
|
| 3200038
| 47
| | Red | Green | Blue
| | z | | 18.76
| | znorm | | 14.58
| | sky | 14.7 | 14.6 | 14.6
| | S/N | 12.7 | 21.7 | 23.7
| | S/N(c) | 10.8 | 18.9 | 21.4
| | SN(E/C) | 0.85
|
|
|
|
|
|
|
| 3200039
| 47
| | Red | Green | Blue
| | z | | 18.87
| | znorm | | 14.69
| | sky | 14.4 | 14.4 | 14.6
| | S/N | 12.9 | 21.9 | 24.0
| | S/N(c) | 11.3 | 19.4 | 22.1
| | SN(E/C) | 0.86
|
|
|
|
|
|
|
| 3200040
| 47
| | Red | Green | Blue
| | z | | 18.86
| | znorm | | 14.68
| | sky | 14.5 | 14.6 | 14.6
| | S/N | 13.8 | 23.2 | 24.6
| | S/N(c) | 11.6 | 20.5 | 21.9
| | SN(E/C) | 0.82
|
|
|
|
|
|
|
| 3200041
| 47
| | Red | Green | Blue
| | z | | 18.80
| | znorm | | 14.62
| | sky | 14.9 | 14.6 | 14.6
| | S/N | 13.0 | 22.1 | 23.5
| | S/N(c) | 11.1 | 20.1 | 21.2
| | SN(E/C) | 0.90
|
|
|
|
|
|
|
| 3200042
| 47
| | Red | Green | Blue
| | z | | 18.91
| | znorm | | 14.73
| | sky | 14.7 | 14.6 | 14.6
| | S/N | 13.8 | 23.4 | 24.6
| | S/N(c) | 11.6 | 21.1 | 22.4
| | SN(E/C) | 0.82
|
|
|
|
|
|
|
| 3200043
| 47
| | Red | Green | Blue
| | z | | 18.84
| | znorm | | 14.66
| | sky | 14.7 | 14.6 | 14.6
| | S/N | 13.1 | 22.3 | 23.9
| | S/N(c) | 11.3 | 20.1 | 21.8
| | SN(E/C) | 0.85
|
|
|
|
|
|
|