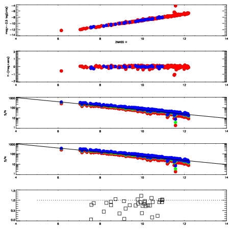
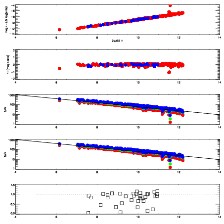
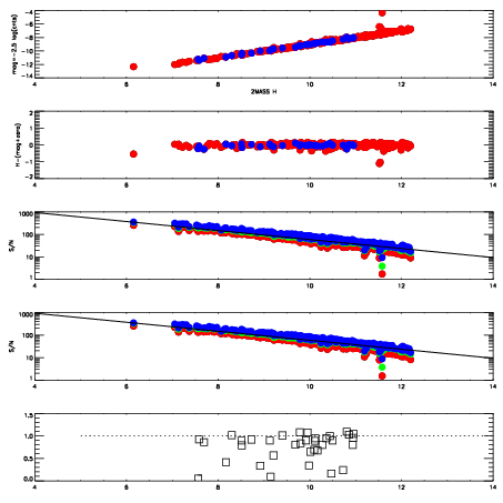
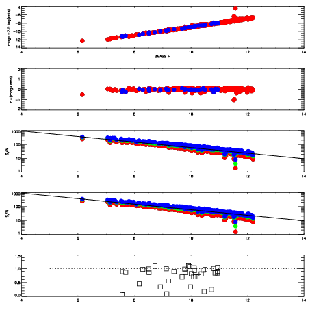
| Frame | Nreads | Zeropoints | Mag plots
| Spatial mag deviation
| Spatial sky 16325A emission deviations (filled: sky, open: star)
| Spatial sky continuum emission
| Spatial sky telluric CO2 absorption deviations (filled: H < 10)
|
| 3180036
| 47
| | Red | Green | Blue
| | z | | 18.98
| | znorm | | 14.80
| | sky | 14.5 | 14.3 | 14.3
| | S/N | 15.5 | 24.7 | 26.9
| | S/N(c) | 13.9 | 23.6 | 25.7
| | SN(E/C) | 0.84
|
|
|
|
|
|
|
| 3180037
| 47
| | Red | Green | Blue
| | z | | 19.02
| | znorm | | 14.84
| | sky | 14.8 | 14.5 | 14.7
| | S/N | 15.4 | 25.1 | 27.4
| | S/N(c) | 13.6 | 23.7 | 26.1
| | SN(E/C) | 0.89
|
|
|
|
|
|
|
| 3180038
| 47
| | Red | Green | Blue
| | z | | 19.04
| | znorm | | 14.86
| | sky | 14.5 | 14.5 | 14.6
| | S/N | 15.7 | 25.4 | 27.6
| | S/N(c) | 13.9 | 23.9 | 26.1
| | SN(E/C) | 0.84
|
|
|
|
|
|
|
| 3180039
| 47
| | Red | Green | Blue
| | z | | 18.96
| | znorm | | 14.78
| | sky | 14.9 | 14.6 | 14.7
| | S/N | 15.0 | 24.6 | 26.4
| | S/N(c) | 13.2 | 23.0 | 25.1
| | SN(E/C) | 0.89
|
|
|
|
|
|
|
| 3180040
| 47
| | Red | Green | Blue
| | z | | 18.99
| | znorm | | 14.81
| | sky | 15.1 | 14.5 | 14.6
| | S/N | 15.0 | 24.7 | 26.6
| | S/N(c) | 13.3 | 23.3 | 25.5
| | SN(E/C) | 0.89
|
|
|
|
|
|
|
| 3180041
| 47
| | Red | Green | Blue
| | z | | 18.95
| | znorm | | 14.77
| | sky | 14.7 | 14.8 | 14.6
| | S/N | 14.8 | 24.2 | 26.2
| | S/N(c) | 13.1 | 22.7 | 24.7
| | SN(E/C) | 0.86
|
|
|
|
|
|
|
| 3180042
| 47
| | Red | Green | Blue
| | z | | 19.00
| | znorm | | 14.82
| | sky | 14.6 | 14.6 | 14.6
| | S/N | 15.3 | 24.9 | 26.9
| | S/N(c) | 13.3 | 23.5 | 25.7
| | SN(E/C) | 0.83
|
|
|
|
|
|
|
| 3180043
| 47
| | Red | Green | Blue
| | z | | 18.92
| | znorm | | 14.74
| | sky | 14.6 | 14.6 | 14.7
| | S/N | 14.3 | 24.0 | 25.9
| | S/N(c) | 12.9 | 22.4 | 24.4
| | SN(E/C) | 0.93
|
|
|
|
|
|
|