| Frame | Nreads | Zeropoints | Mag plots
| Spatial mag deviation
| Spatial sky 16325A emission deviations (filled: sky, open: star)
| Spatial sky continuum emission
| Spatial sky telluric CO2 absorption deviations (filled: H < 10)
|
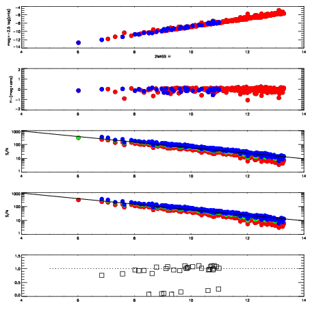
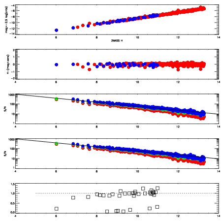
| 3100087
| 47
| | Red | Green | Blue
| | z | | 18.61
| | znorm | | 14.43
| | sky | 15.3 | 14.7 | 15.1
| | S/N | 12.0 | 20.3 | 21.4
| | S/N(c) | 10.5 | 17.8 | 19.5
| | SN(E/C) | 0.95
|
|
|
|
|
|
|
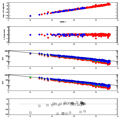
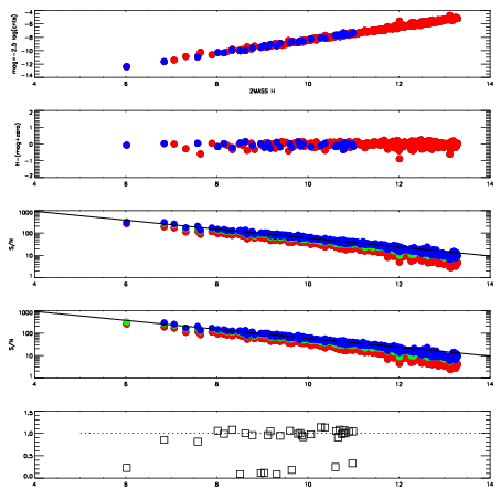
| 3100088
| 47
| | Red | Green | Blue
| | z | | 18.47
| | znorm | | 14.29
| | sky | 15.1 | 14.8 | 15.2
| | S/N | 11.0 | 19.0 | 19.6
| | S/N(c) | 9.3 | 16.7 | 17.8
| | SN(E/C) | 0.98
|
|
|
|
|
|
|
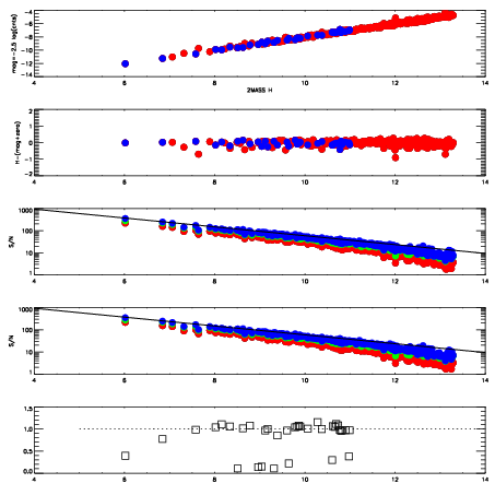
| 3100089
| 47
| | Red | Green | Blue
| | z | | 18.07
| | znorm | | 13.89
| | sky | 15.2 | 14.8 | 15.1
| | S/N | 8.2 | 15.0 | 15.6
| | S/N(c) | 7.1 | 13.2 | 14.2
| | SN(E/C) | 0.98
|
|
|
|
|
|
|
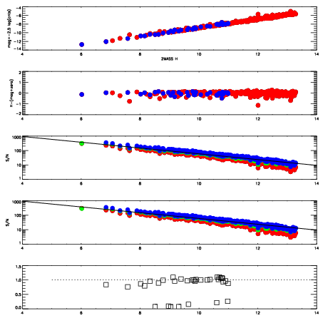
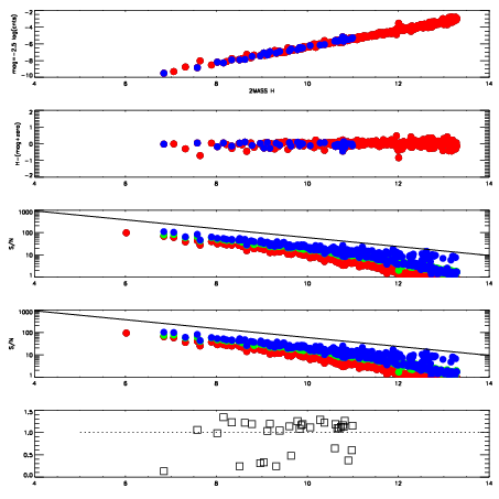
| 3100090
| 47
| | Red | Green | Blue
| | z | | 16.38
| | znorm | | 12.20
| | sky | 15.2 | 14.9 | 15.1
| | S/N | 1.5 | 4.7 | 8.3
| | S/N(c) | 1.4 | 3.8 | 7.5
| | SN(E/C) | 1.12
|
|
|
|
|
|
|
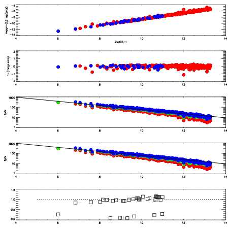
| 3100091
| 47
| | Red | Green | Blue
| | z | | 18.44
| | znorm | | 14.26
| | sky | 15.1 | 15.0 | 15.1
| | S/N | 10.6 | 18.5 | 19.1
| | S/N(c) | 9.2 | 16.3 | 17.2
| | SN(E/C) | 0.98
|
|
|
|
|
|
|
| 3100092
| 47
| | Red | Green | Blue
| | z | | 18.85
| | znorm | | 14.67
| | sky | 15.5 | 15.1 | 15.1
| | S/N | 14.2 | 23.9 | 24.6
| | S/N(c) | 12.5 | 21.3 | 22.7
| | SN(E/C) | 0.98
|
|
|
|
|
|
|
| 3100093
| 47
| | Red | Green | Blue
| | z | | 18.66
| | znorm | | 14.48
| | sky | 15.1 | 15.1 | 15.2
| | S/N | 12.5 | 21.5 | 22.4
| | S/N(c) | 10.8 | 19.3 | 20.4
| | SN(E/C) | 0.97
|
|
|
|
|
|
|
| 3100094
| 47
| | Red | Green | Blue
| | z | | 18.86
| | znorm | | 14.68
| | sky | 15.5 | 15.0 | 15.2
| | S/N | 14.7 | 24.2 | 24.9
| | S/N(c) | 12.7 | 21.5 | 22.9
| | SN(E/C) | 0.97
|
|
|
|
|
|
|