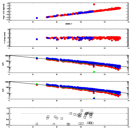
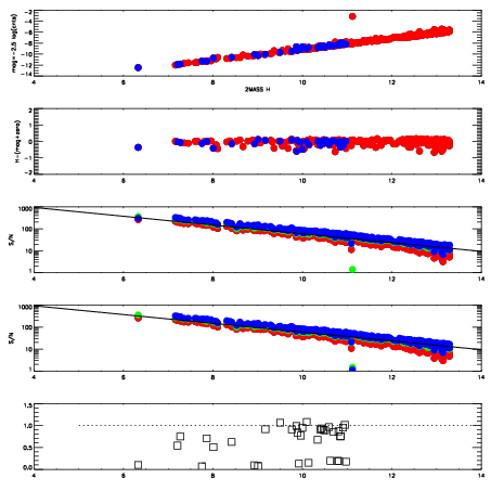
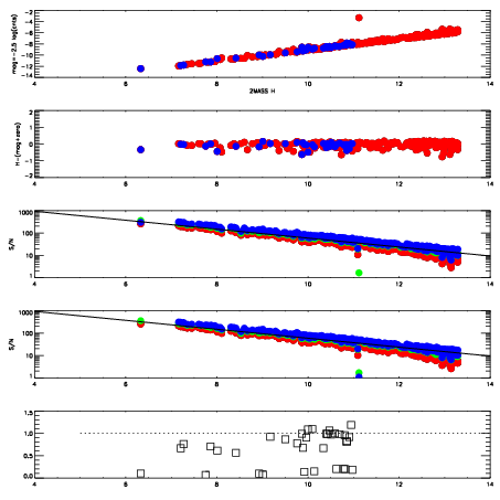
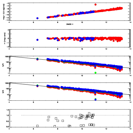
| Frame | Nreads | Zeropoints | Mag plots
| Spatial mag deviation
| Spatial sky 16325A emission deviations (filled: sky, open: star)
| Spatial sky continuum emission
| Spatial sky telluric CO2 absorption deviations (filled: H < 10)
|
| 3700071
| 47
| | Red | Green | Blue
| | z | | 19.07
| | znorm | | 14.89
| | sky | 15.3 | 14.7 | 14.6
| | S/N | 14.3 | 23.3 | 26.6
| | S/N(c) | 12.6 | 22.0 | 25.6
| | SN(E/C) | 0.78
|
|
|
|
|
|
|
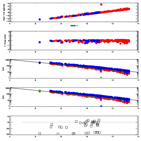
| 3700072
| 47
| | Red | Green | Blue
| | z | | 19.14
| | znorm | | 14.96
| | sky | 15.0 | 14.8 | 14.9
| | S/N | 14.7 | 24.4 | 26.9
| | S/N(c) | 13.1 | 23.2 | 25.9
| | SN(E/C) | 0.75
|
|
|
|
|
|
|
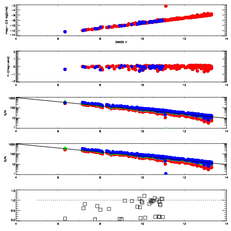
| 3700073
| 47
| | Red | Green | Blue
| | z | | 19.11
| | znorm | | 14.93
| | sky | 15.1 | 14.8 | 14.8
| | S/N | 14.8 | 24.0 | 26.3
| | S/N(c) | 13.1 | 22.8 | 25.3
| | SN(E/C) | 0.81
|
|
|
|
|
|
|
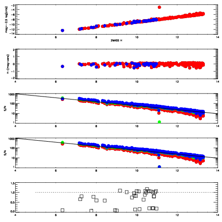
| 3700074
| 47
| | Red | Green | Blue
| | z | | 19.06
| | znorm | | 14.88
| | sky | 14.8 | 14.8 | 14.8
| | S/N | 14.3 | 23.8 | 25.7
| | S/N(c) | 12.8 | 22.5 | 24.6
| | SN(E/C) | 0.80
|
|
|
|
|
|
|
| 3700075
| 47
| | Red | Green | Blue
| | z | | 19.07
| | znorm | | 14.89
| | sky | 15.1 | 14.9 | 14.7
| | S/N | 14.5 | 23.6 | 25.6
| | S/N(c) | 12.5 | 22.1 | 24.6
| | SN(E/C) | 0.76
|
|
|
|
|
|
|
| 3700076
| 47
| | Red | Green | Blue
| | z | | 19.13
| | znorm | | 14.95
| | sky | 14.7 | 14.6 | 14.6
| | S/N | 14.8 | 24.4 | 26.2
| | S/N(c) | 13.1 | 22.8 | 24.9
| | SN(E/C) | 0.77
|
|
|
|
|
|
|
| 3700077
| 47
| | Red | Green | Blue
| | z | | 19.14
| | znorm | | 14.96
| | sky | 14.7 | 14.8 | 14.7
| | S/N | 15.0 | 24.5 | 26.4
| | S/N(c) | 13.4 | 22.8 | 25.3
| | SN(E/C) | 0.81
|
|
|
|
|
|
|
| 3700078
| 47
| | Red | Green | Blue
| | z | | 19.06
| | znorm | | 14.88
| | sky | 15.1 | 14.8 | 14.8
| | S/N | 14.4 | 23.6 | 25.2
| | S/N(c) | 12.5 | 21.9 | 24.0
| | SN(E/C) | 0.80
|
|
|
|
|
|
|