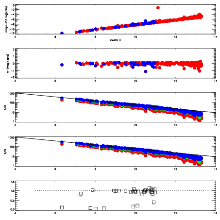
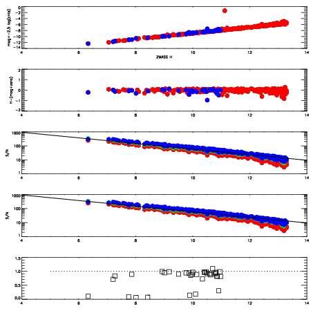
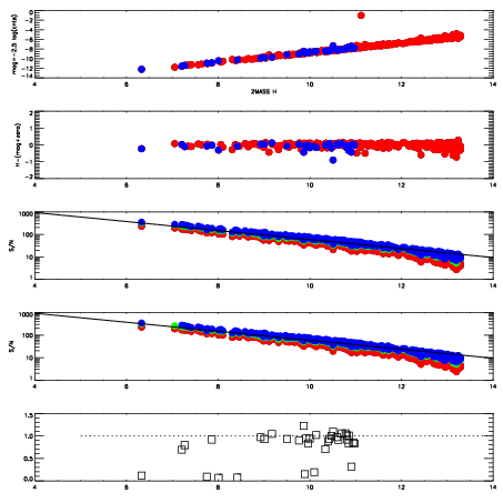
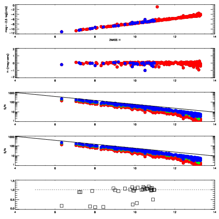
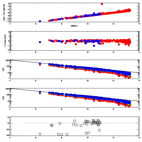
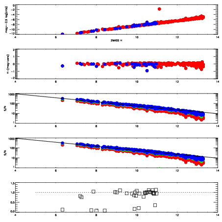
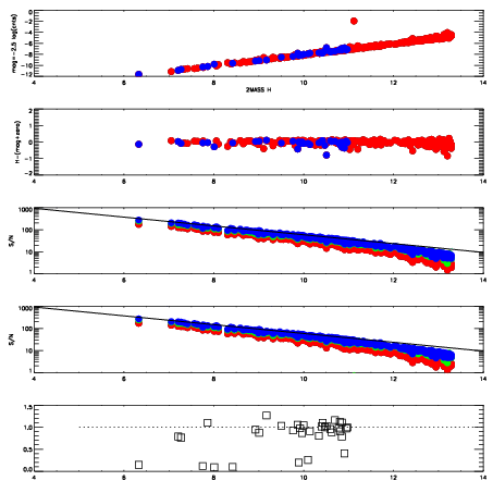
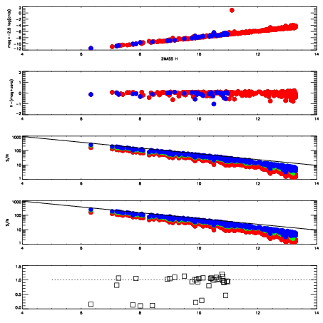
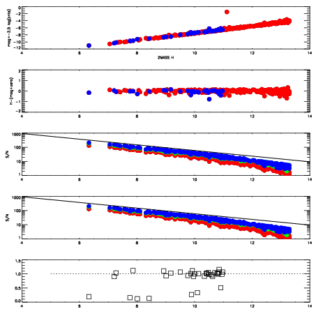
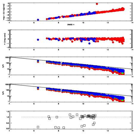
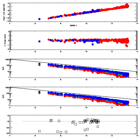
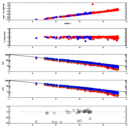
| Frame | Nreads | Zeropoints | Mag plots
| Spatial mag deviation
| Spatial sky 16325A emission deviations (filled: sky, open: star)
| Spatial sky continuum emission
| Spatial sky telluric CO2 absorption deviations (filled: H < 10)
|
| 4070010
| 47
| | Red | Green | Blue
| | z | | 17.16
| | znorm | | 12.98
| | sky | 15.1 | 14.8 | 14.8
| | S/N | 3.7 | 8.0 | 8.0
| | S/N(c) | 3.2 | 7.2 | 7.6
| | SN(E/C) | 0.97
|
|
|
|
|
|
|
| 4070011
| 47
| | Red | Green | Blue
| | z | | 18.11
| | znorm | | 13.93
| | sky | 15.4 | 15.1 | 15.5
| | S/N | 7.2 | 14.1 | 14.5
| | S/N(c) | 6.5 | 13.1 | 13.8
| | SN(E/C) | 0.97
|
|
|
|
|
|
|
| 4070012
| 47
| | Red | Green | Blue
| | z | | 18.51
| | znorm | | 14.33
| | sky | 15.2 | 14.9 | 15.1
| | S/N | 9.2 | 16.8 | 17.7
| | S/N(c) | 8.4 | 15.9 | 17.1
| | SN(E/C) | 0.95
|
|
|
|
|
|
|
| 4070013
| 47
| | Red | Green | Blue
| | z | | 17.65
| | znorm | | 13.47
| | sky | 15.3 | 15.1 | 15.7
| | S/N | 4.7 | 10.2 | 9.9
| | S/N(c) | 4.3 | 9.4 | 9.3
| | SN(E/C) | 0.99
|
|
|
|
|
|
|
| 4070014
| 47
| | Red | Green | Blue
| | z | | 17.74
| | znorm | | 13.56
| | sky | 15.4 | 15.1 | 15.4
| | S/N | 5.4 | 10.6 | 10.8
| | S/N(c) | 4.8 | 10.1 | 10.3
| | SN(E/C) | 1.02
|
|
|
|
|
|
|
| 4070015
| 47
| | Red | Green | Blue
| | z | | 17.88
| | znorm | | 13.70
| | sky | 14.8 | 14.9 | 15.2
| | S/N | 5.7 | 11.7 | 11.5
| | S/N(c) | 5.2 | 10.9 | 10.8
| | SN(E/C) | 1.00
|
|
|
|
|
|
|
| 4070016
| 47
| | Red | Green | Blue
| | z | | 18.24
| | znorm | | 14.06
| | sky | 14.8 | 14.7 | 15.0
| | S/N | 7.7 | 14.5 | 15.2
| | S/N(c) | 6.9 | 13.4 | 14.6
| | SN(E/C) | 0.95
|
|
|
|
|
|
|
| 4070017
| 47
| | Red | Green | Blue
| | z | | 17.51
| | znorm | | 13.33
| | sky | 14.8 | 14.7 | 15.0
| | S/N | 4.7 | 9.0 | 9.2
| | S/N(c) | 4.4 | 8.1 | 8.8
| | SN(E/C) | 0.99
|
|
|
|
|
|
|
| 4070018
| 47
| | Red | Green | Blue
| | z | | 18.09
| | znorm | | 13.91
| | sky | 15.0 | 14.7 | 15.1
| | S/N | 6.9 | 13.5 | 13.5
| | S/N(c) | 6.1 | 12.6 | 12.7
| | SN(E/C) | 0.94
|
|
|
|
|
|
|
| 4070019
| 47
| | Red | Green | Blue
| | z | | 18.27
| | znorm | | 14.09
| | sky | 14.8 | 14.9 | 14.9
| | S/N | 7.7 | 14.9 | 15.6
| | S/N(c) | 7.0 | 13.7 | 15.0
| | SN(E/C) | 0.98
|
|
|
|
|
|
|
| 4070020
| 47
| | Red | Green | Blue
| | z | | 18.75
| | znorm | | 14.57
| | sky | 15.1 | 14.9 | 15.2
| | S/N | 11.2 | 19.7 | 21.1
| | S/N(c) | 10.2 | 18.7 | 20.3
| | SN(E/C) | 0.92
|
|
|
|
|
|
|
| 4070021
| 47
| | Red | Green | Blue
| | z | | 18.90
| | znorm | | 14.72
| | sky | 15.0 | 15.0 | 15.2
| | S/N | 12.5 | 21.6 | 23.3
| | S/N(c) | 11.8 | 20.6 | 22.5
| | SN(E/C) | 0.89
|
|
|
|
|
|
|