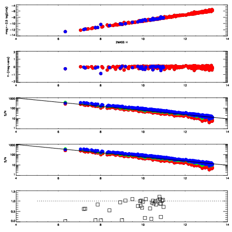
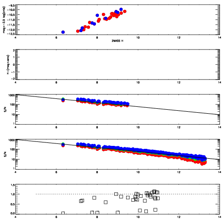
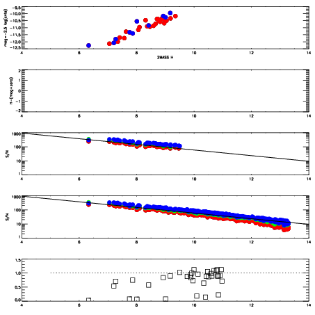
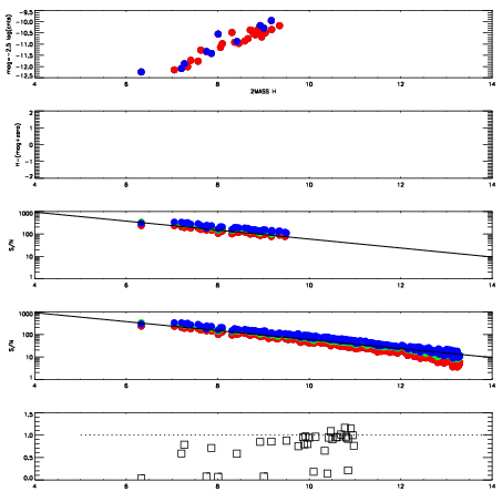
| Frame | Nreads | Zeropoints | Mag plots
| Spatial mag deviation
| Spatial sky 16325A emission deviations (filled: sky, open: star)
| Spatial sky continuum emission
| Spatial sky telluric CO2 absorption deviations (filled: H < 10)
|
| 6940098
| 47
| | Red | Green | Blue
| | z | | -Inf
| | znorm | | -Inf
| | sky | Inf | Inf | Inf
| | S/N | 0.0 | 0.0 | 0.0
| | S/N(c) | 13.3 | 22.9 | 25.9
| | SN(E/C) | 0.85
|
|
|
|
|
|
|
| 6940099
| 47
| | Red | Green | Blue
| | z | | -Inf
| | znorm | | -Inf
| | sky | Inf | Inf | Inf
| | S/N | 0.0 | 0.0 | 0.0
| | S/N(c) | 13.3 | 22.6 | 25.9
| | SN(E/C) | 0.83
|
|
|
|
|
|
|
| 6940100
| 47
| | Red | Green | Blue
| | z | | -Inf
| | znorm | | -Inf
| | sky | Inf | Inf | Inf
| | S/N | 0.0 | 0.0 | 0.0
| | S/N(c) | 13.2 | 22.3 | 25.9
| | SN(E/C) | 0.85
|
|
|
|
|
|
|
| 6940101
| 47
| | Red | Green | Blue
| | z | | -Inf
| | znorm | | -Inf
| | sky | Inf | Inf | Inf
| | S/N | 0.0 | 0.0 | 0.0
| | S/N(c) | 12.9 | 22.2 | 25.4
| | SN(E/C) | 0.82
|
|
|
|
|
|
|
| 6940102
| 47
| | Red | Green | Blue
| | z | | -Inf
| | znorm | | -Inf
| | sky | Inf | Inf | Inf
| | S/N | 0.0 | 0.0 | 0.0
| | S/N(c) | 13.0 | 22.4 | 25.7
| | SN(E/C) | 0.88
|
|
|
|
|
|
|
| 6940103
| 47
| | Red | Green | Blue
| | z | | -Inf
| | znorm | | -Inf
| | sky | Inf | Inf | Inf
| | S/N | 0.0 | 0.0 | 0.0
| | S/N(c) | 13.3 | 22.6 | 26.0
| | SN(E/C) | 0.84
|
|
|
|
|
|
|
| 6940104
| 47
| | Red | Green | Blue
| | z | | -Inf
| | znorm | | -Inf
| | sky | Inf | Inf | Inf
| | S/N | 0.0 | 0.0 | 0.0
| | S/N(c) | 13.4 | 22.5 | 25.9
| | SN(E/C) | 0.84
|
|
|
|
|
|
|
| 6940105
| 47
| | Red | Green | Blue
| | z | | 19.18
| | znorm | | 15.00
| | sky | 14.3 | 14.3 | 14.4
| | S/N | 16.1 | 25.8 | 27.9
| | S/N(c) | 13.6 | 22.7 | 26.2
| | SN(E/C) | 0.87
|
|
|
|
|
|
|
| 6940106
| 47
| | Red | Green | Blue
| | z | | 19.18
| | znorm | | 15.00
| | sky | 14.4 | 14.4 | 14.3
| | S/N | 16.0 | 25.8 | 27.9
| | S/N(c) | 13.5 | 22.8 | 26.2
| | SN(E/C) | 0.85
|
|
|
|
|
|
|
| 6940107
| 47
| | Red | Green | Blue
| | z | | 19.18
| | znorm | | 15.00
| | sky | 14.6 | 14.3 | 14.3
| | S/N | 16.0 | 25.8 | 28.0
| | S/N(c) | 13.4 | 22.7 | 26.3
| | SN(E/C) | 0.85
|
|
|
|
|
|
|
| 6940108
| 47
| | Red | Green | Blue
| | z | | 19.19
| | znorm | | 15.01
| | sky | 14.8 | 14.5 | 14.4
| | S/N | 16.2 | 26.0 | 28.1
| | S/N(c) | 13.4 | 22.9 | 26.4
| | SN(E/C) | 0.87
|
|
|
|
|
|
|
| 6940109
| 47
| | Red | Green | Blue
| | z | | 19.18
| | znorm | | 15.00
| | sky | 14.3 | 14.4 | 14.3
| | S/N | 16.0 | 25.9 | 28.0
| | S/N(c) | 13.5 | 22.9 | 26.3
| | SN(E/C) | 0.84
|
|
|
|
|
|
|