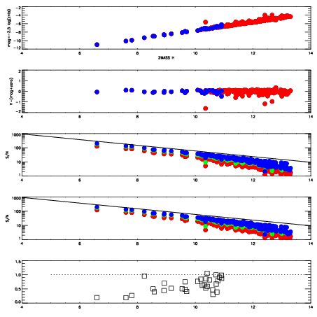
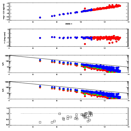
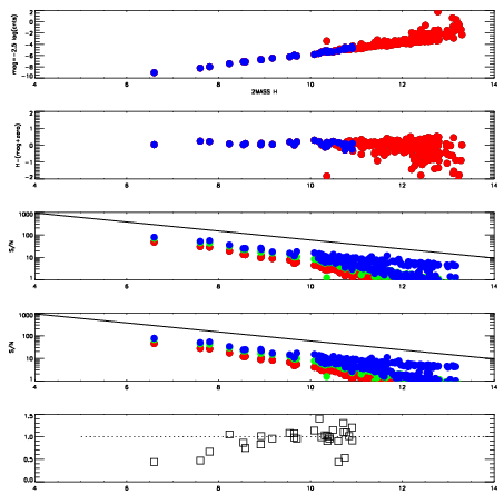
| Frame | Nreads | Zeropoints | Mag plots
| Spatial mag deviation
| Spatial sky 16325A emission deviations (filled: sky, open: star)
| Spatial sky continuum emission
| Spatial sky telluric CO2 absorption deviations (filled: H < 10)
|
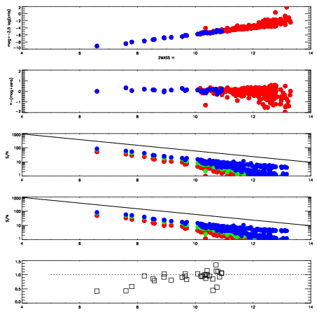
| 4020024
| 47
| | Red | Green | Blue
| | z | | 17.72
| | znorm | | 13.54
| | sky | 13.4 | 13.3 | 13.3
| | S/N | 5.5 | 9.9 | 11.0
| | S/N(c) | 4.9 | 9.2 | 10.4
| | SN(E/C) | 0.54
|
|
|
|
|
|
|
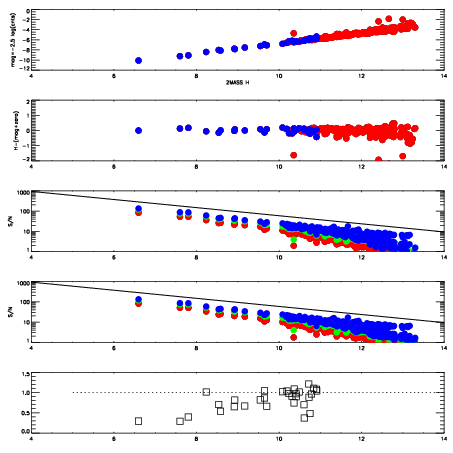
| 4020025
| 47
| | Red | Green | Blue
| | z | | 17.08
| | znorm | | 12.90
| | sky | 12.9 | 12.9 | 13.0
| | S/N | 2.7 | 5.4 | 5.9
| | S/N(c) | 2.6 | 5.0 | 5.6
| | SN(E/C) | 0.74
|
|
|
|
|
|
|
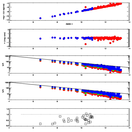
| 4020026
| 47
| | Red | Green | Blue
| | z | | 16.69
| | znorm | | 12.51
| | sky | 12.8 | 12.7 | 12.9
| | S/N | 1.9 | 3.8 | 4.2
| | S/N(c) | 1.9 | 3.6 | 4.1
| | SN(E/C) | 0.89
|
|
|
|
|
|
|
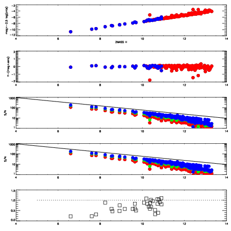
| 4020027
| 47
| | Red | Green | Blue
| | z | | 17.61
| | znorm | | 13.43
| | sky | 13.2 | 13.1 | 13.3
| | S/N | 4.7 | 8.8 | 10.2
| | S/N(c) | 4.1 | 8.2 | 9.4
| | SN(E/C) | 0.63
|
|
|
|
|
|
|
| 4020028
| 47
| | Red | Green | Blue
| | z | | 17.37
| | znorm | | 13.19
| | sky | 12.9 | 12.9 | 13.0
| | S/N | 3.7 | 6.9 | 7.8
| | S/N(c) | 3.4 | 6.4 | 7.3
| | SN(E/C) | 0.69
|
|
|
|
|
|
|
| 4020029
| 47
| | Red | Green | Blue
| | z | | 17.07
| | znorm | | 12.89
| | sky | 12.9 | 12.9 | 13.0
| | S/N | 2.8 | 5.4 | 5.8
| | S/N(c) | 2.6 | 5.1 | 5.8
| | SN(E/C) | 0.75
|
|
|
|
|
|
|
| 4020030
| 47
| | Red | Green | Blue
| | z | | 15.58
| | znorm | | 11.40
| | sky | 12.6 | 12.7 | 12.9
| | S/N | 0.7 | 1.3 | 1.5
| | S/N(c) | 0.7 | 1.5 | 1.6
| | SN(E/C) | 0.99
|
|
|
|
|
|
|
| 4020031
| 47
| | Red | Green | Blue
| | z | | 15.72
| | znorm | | 11.54
| | sky | 12.7 | 12.7 | 13.0
| | S/N | 0.9 | 1.7 | 1.9
| | S/N(c) | 0.9 | 1.6 | 1.9
| | SN(E/C) | 0.94
|
|
|
|
|
|
|