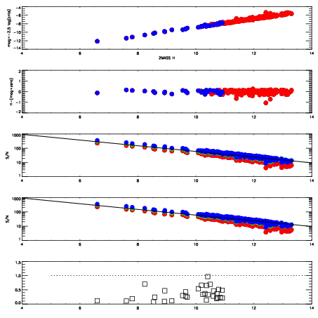
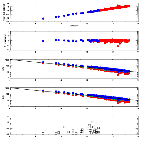
Left plots: red are targets, blue are telluric. Observed mags are calculated from median value of green chip. Zeropoint gives overall throughput: bigger number is more throughput.
First spatial plots: circles are objects, squares are tellurics, crosses are sky fibers. Colors give deviation of observed mag from expected 2MASS mag using the median zeropoint; red is brighter
Second spatial plots: circles are sky fibers. Colors give sky line brightness relative to plate median sky line brightness
FrameNreadsZeropointsMag plots Spatial mag deviation Spatial sky 16325A emission deviations (filled: sky, open: star) Spatial sky continuum emission Spatial sky telluric CO2 absorption deviations (filled: H < 10)
4260010 47
RedGreenBlue
z18.66
znorm14.48
sky 15.4 14.8 14.8
S/N 12.4 21.8 22.5
S/N(c) 10.9 20.6 21.5
SN(E/C) 0.30
4260011 47
RedGreenBlue
z18.84
znorm14.66
sky 15.1 15.2 15.3
S/N 13.3 23.6 25.0
S/N(c) 11.9 22.3 23.9
SN(E/C) 0.30
4260012 47
RedGreenBlue
z18.82
znorm14.64
sky 15.4 15.1 15.4
S/N 13.3 23.0 24.5
S/N(c) 11.8 21.7 23.5
SN(E/C) 0.29
4260013 47
RedGreenBlue
z18.96
znorm14.78
sky 15.1 15.0 15.3
S/N 14.2 24.9 26.6
S/N(c) 12.7 23.2 25.4
SN(E/C) 0.27