PLATE: 5593 MJD: 55998 FIELD: APGS_VOD1

FrameCartsec zseeingNreadsDitherPixshiftZerosky continuumS/NS/N(c)
4360021 4 1.19 1.83 47 0.00 0.00 18.78 [15.11,14.56,14.52] [ 15.2, 24.0, 25.0] [ 13.4, 22.7, 23.8]
4360022 4 1.19 1.73 47 0.40 0.00 18.72 [15.04,14.86,15.13] [ 14.3, 23.1, 24.0] [ 12.5, 21.7, 22.9]
4360023 4 1.18 1.94 47 0.39 0.00 18.86 [15.05,14.87,14.80] [ 15.5, 25.1, 25.7] [ 13.6, 23.6, 24.6]
4360024 4 1.18 1.99 47 0.01 -0.00 18.63 [15.41,14.97,15.07] [ 12.8, 21.4, 22.3] [ 11.0, 20.1, 21.2]
4360025 4 1.18 3.02 47 0.00 -0.00 18.63 [14.98,14.94,15.09] [ 12.8, 21.6, 22.3] [ 11.2, 20.1, 21.2]
4360026 4 1.19 1.43 47 0.40 0.00 18.92 [15.29,14.91,14.99] [ 15.9, 25.7, 26.3] [ 13.9, 23.9, 25.2]
4360027 4 1.19 1.36 47 0.41 0.00 18.94 [14.87,15.01,14.82] [ 16.0, 26.1, 26.8] [ 14.3, 24.4, 25.5]
4360028 4 1.20 1.30 47 0.01 0.00 18.96 [14.75,15.05,14.99] [ 16.2, 26.3, 27.1] [ 14.4, 24.6, 25.8]

IPAIRNAMESHIFTNEWSHIFTS/N NAMESHIFTNEWSHIFTS/N
0 04360027 0.410 0.000 226.34 04360024 0.011 0.399 202.71
1 04360026 0.396 0.014 229.89 04360028 0.008 0.403 229.76
2 04360023 0.395 0.015 226.41 04360021 0.000 0.410 221.23
3 04360022 0.401 0.009 211.37 04360025 0.003 0.407 199.77

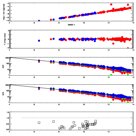
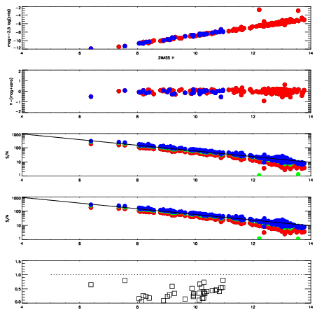
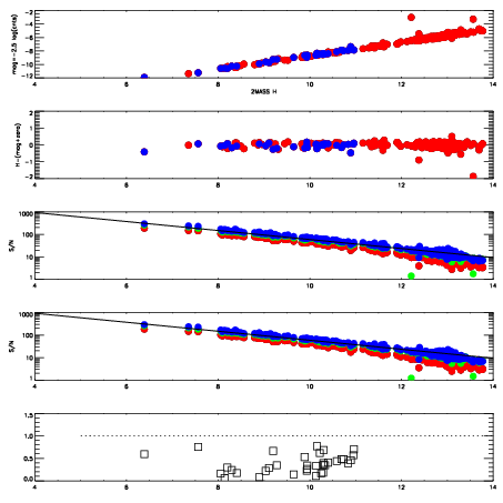
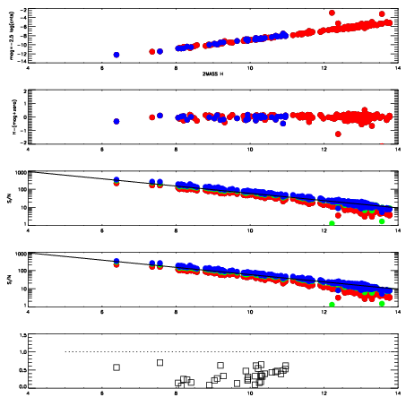
Visit (multiple exposure and dither combined) spectra

FrameZeropointsMag plots Spatial mag deviation Spatial sky 16325A emission deviations (filled: sky, open: star) Spatial sky continuum emission Spatial sky telluric CO2 absorption deviations (filled: H < 10)
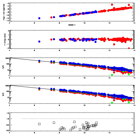
4360021
RedGreenBlue
z18.78
znorm14.60
sky 15.1 14.6 14.5
S/N 15.2 24.0 25.0
S/N(c) 13.4 22.7 23.8
SN(E/C) 0.35
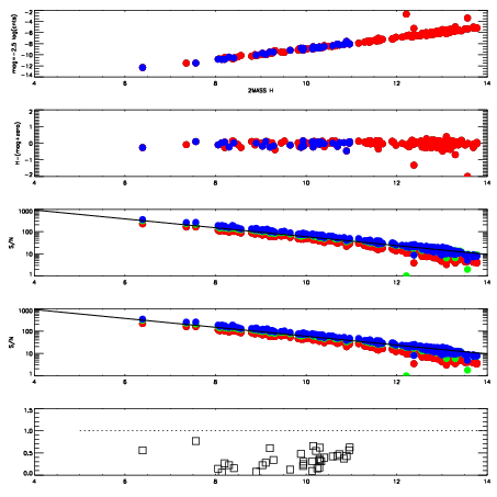
4360022
RedGreenBlue
z18.72
znorm14.54
sky 15.0 14.9 15.1
S/N 14.3 23.1 24.0
S/N(c) 12.5 21.7 22.9
SN(E/C) 0.35
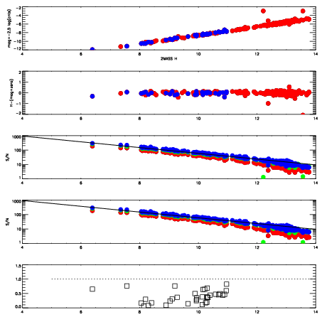
4360023
RedGreenBlue
z18.86
znorm14.68
sky 15.1 14.9 14.8
S/N 15.5 25.1 25.7
S/N(c) 13.6 23.6 24.6
SN(E/C) 0.33
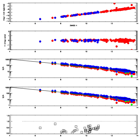
4360024
RedGreenBlue
z18.63
znorm14.45
sky 15.4 15.0 15.1
S/N 12.8 21.4 22.3
S/N(c) 11.0 20.1 21.2
SN(E/C) 0.37
4360025
RedGreenBlue
z18.63
znorm14.45
sky 15.0 14.9 15.1
S/N 12.8 21.6 22.3
S/N(c) 11.2 20.1 21.2
SN(E/C) 0.37
4360026
RedGreenBlue
z18.92
znorm14.74
sky 15.3 14.9 15.0
S/N 15.9 25.7 26.3
S/N(c) 13.9 23.9 25.2
SN(E/C) 0.33
4360027
RedGreenBlue
z18.94
znorm14.76
sky 14.9 15.0 14.8
S/N 16.0 26.1 26.8
S/N(c) 14.3 24.4 25.5
SN(E/C) 0.33
4360028
RedGreenBlue
z18.96
znorm14.78
sky 14.8 15.0 15.0
S/N 16.2 26.3 27.1
S/N(c) 14.4 24.6 25.8
SN(E/C) 0.32