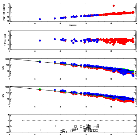
| Frame | Nreads | Zeropoints | Mag plots
| Spatial mag deviation
| Spatial sky 16325A emission deviations (filled: sky, open: star)
| Spatial sky continuum emission
| Spatial sky telluric CO2 absorption deviations (filled: H < 10)
|
| 5240015
| 47
| | Red | Green | Blue
| | z | | 19.14
| | znorm | | 14.96
| | sky | 14.1 | 13.9 | 13.1
| | S/N | 15.7 | 24.9 | 23.1
| | S/N(c) | 14.1 | 23.6 | 26.5
| | SN(E/C) | 0.27
|
|
|
|
|
|
|
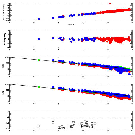
| 5240016
| 47
| | Red | Green | Blue
| | z | | 19.15
| | znorm | | 14.97
| | sky | 14.4 | 14.0 | 13.3
| | S/N | 15.2 | 24.8 | 23.3
| | S/N(c) | 13.5 | 23.5 | 26.6
| | SN(E/C) | 0.28
|
|
|
|
|
|
|
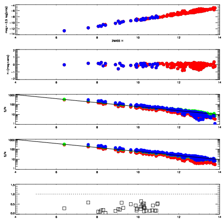
| 5240017
| 47
| | Red | Green | Blue
| | z | | 19.13
| | znorm | | 14.95
| | sky | 14.2 | 14.1 | 13.4
| | S/N | 15.2 | 24.5 | 23.6
| | S/N(c) | 13.5 | 23.0 | 26.5
| | SN(E/C) | 0.28
|
|
|
|
|
|
|
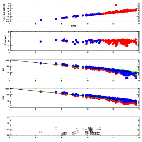
| 5240018
| 47
| | Red | Green | Blue
| | z | | 19.11
| | znorm | | 14.93
| | sky | 14.2 | 14.1 | 13.4
| | S/N | 14.9 | 24.3 | 23.1
| | S/N(c) | 13.5 | 22.8 | 26.1
| | SN(E/C) | 0.27
|
|
|
|
|
|
|
| 5240019
| 47
| | Red | Green | Blue
| | z | | 19.09
| | znorm | | 14.91
| | sky | 14.4 | 14.2 | 13.5
| | S/N | 14.5 | 24.7 | 22.6
| | S/N(c) | 12.9 | 23.0 | 25.5
| | SN(E/C) | 0.27
|
|
|
|
|
|
|
| 5240020
| 47
| | Red | Green | Blue
| | z | | 19.10
| | znorm | | 14.92
| | sky | 14.4 | 14.2 | 13.6
| | S/N | 14.3 | 24.7 | 23.4
| | S/N(c) | 12.9 | 23.0 | 25.6
| | SN(E/C) | 0.27
|
|
|
|
|
|
|
| 5240021
| 47
| | Red | Green | Blue
| | z | | 19.07
| | znorm | | 14.89
| | sky | 14.3 | 14.3 | 13.7
| | S/N | 13.6 | 23.8 | 22.6
| | S/N(c) | 12.3 | 22.1 | 24.8
| | SN(E/C) | 0.28
|
|
|
|
|
|
|
| 5240022
| 47
| | Red | Green | Blue
| | z | | 19.05
| | znorm | | 14.87
| | sky | 14.3 | 14.3 | 13.6
| | S/N | 13.4 | 23.4 | 21.8
| | S/N(c) | 11.9 | 21.5 | 24.2
| | SN(E/C) | 0.29
|
|
|
|
|
|
|